(+86) 18015666117
我们能帮您找到什么?

椭偏仪薄膜测量原理和方法:光学模型建立和仿真

椭偏技术是一种非接触式、高精度、多参数等光学测量技术,是薄膜检测的最好手段。本文以椭圆偏振基本原理为基础,重点介绍了光学模型建立和仿真,为椭偏仪薄膜测量及误差修正提供一定的理论基础。费曼仪器作为国内领先的薄膜材料检测解决方案提供商,致力于为全球工业智造提供精准测量解决方案。其中Flexfilm全光谱椭偏仪可以精确量化薄膜的折射率消光系数厚度参数,为高性能减反膜及光学器件的基底选型提供理论支撑。


椭圆偏振基本原理

作为光学测量的核心手段,椭圆偏振技术通过分析偏振光与材料相互作用后的偏振态变化,实现对薄膜厚度光学常数的高精度表征。

菲涅尔反射系数

入射光在界面处分解为p分量(平行入射面)和s分量(垂直入射面),反射系数定义为:

image.png 

光在界面上的反射 

光在界面上的反射

•光在均匀、各向同性介质界面处的反射:

image.png 

光在介质薄膜上的反射 

光在介质薄膜上的反射

•光在薄膜上的反射:

对于厚度 d、折射率 n2的薄膜

对于基底上的单层薄膜,总反射系数为:

image.png 

image.png 

r1p,r1s和 r2p,r2s分别为界面1(入射介质/薄膜)和界面2(薄膜/基底)的菲涅尔反射系数。

δ:膜内相邻反射光的相位差。

对于 m层薄膜系统,反射系数通过特征矩阵法计算:

每层膜的特征矩阵为:

image.png 

image.png 

整个薄膜系统的特征矩阵为:

image.png 

令Y=C/B,得到多层薄膜的反射系数为:

image.png 

 η0为入射介质的光学导纳。

椭偏参数

两线偏振光的振幅比Erp/Ers和相位差Δ直接影响着偏振的方向和振幅,因此只要知道了振幅比和相位差就可以表示出任一光波的偏振态。

椭圆偏振光轨迹 

椭圆偏振光轨迹
光线入射到薄膜表面时,入射光和反射光偏振态的变化可以用p分量和s分量的反射系数之比来表示:

image.png 

其中将ρ称为菲涅尔反射系数比,Ψ和 Δ称为椭偏参数,也叫椭偏角。

image.png 

image.png 

看出椭偏参数 Ψ和Δ可用于描述椭圆偏振光的偏振状态,反映了椭圆偏振光的振幅和相位的变化

在薄膜测量中,若测出经薄膜反射的反射光的椭圆偏振态,就可以求得薄膜的光学常数 (n,k)和厚度 d等参数,这就是椭圆偏振测量的基本原理。


光学薄膜材料的模型建立

椭偏分析通常比较依赖模型的选取,一方面构建尽可能与真实的薄膜材料相吻合的结构模型,另一方面选取合适的、能够描述这一结构模型的色散模型

结构模型

光学薄膜系统用分层的层状结构来描述,通过计算各膜层的特征矩阵,得到所建模型的椭偏参数和Ψ和Δ。

对于均匀、各向同性的单层膜系统,如在玻璃基底上镀一层膜,可以将整个膜系看作一个理想的三层膜结构,以两个平行表面为界。

单层薄膜结构模型 

单层薄膜结构模型

对复杂的多层薄膜就可以用多层膜的结构来表示。

多层薄膜结构模型 

多层薄膜结构模型

色散模型

在椭偏测量中,待测薄膜材料的光学常数拟合方法主要有色散模型拟合法点对点法B样条拟合法。薄膜材料的色散主要是由于其对不同波长的入射光的相速不同,从而使薄膜材料的折射率也不同,其光学常数会随入射光频率或波长的变化而变化,这种频率依赖性称为色散关系

从麦克斯韦的电场理论可知,折射率和相速与薄膜材料的介电常数ε有关,折射率n和消光系数k可以用复折射率NN=n-ik表示,复折射率N复介电常数ε(ε=ε-iε之间的转换关系为:N²=ε

常用的色散模型主要有洛伦兹(Lorentz)模型德鲁德(Drude)模型柯西(Cauchy)模型等振子模型。


柯西(Cauchy)模型

适用材料:透明介质(如SiO₂、MgF₂、BK7玻璃)及其弱吸收波段。

柯西模型通常用于透明材料或材料的透明波段,如:SiO₂、MgF₂、AlO₃、TiO₂和

BK7玻璃等。使用参数(AB,C,...)描述材料的折射率,可以表示为:

image.png 

 

材料消光系数k不为零时表达式为:

image.png 

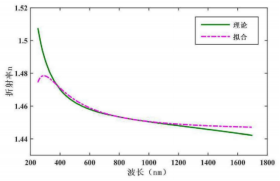
二氧化硅SiO₂薄膜光学模型仿真

SiO₂的折射率n拟合 

SiO₂的折射率n拟合

SiO₂薄膜是一种透明材料使用柯西色散模型描述,其消光系数k0,只对折射率n仿真拟合。得出折射率n在光谱范围400-1200nm处拟合曲线更加吻合理论曲线。

 

洛伦兹(Lorentz)模型

洛伦兹模型常用于描述半导体绝缘体晶体材料,还可以描述纳米金属颗粒所组成的薄膜体系。基于电磁学理论,把被测物体看作是均匀各向同性固体,光学响应看成一个有阻尼的谐振系统在入射光场作用下产生受迫振荡。将材料的介电常数描述为振子之和:

image.png 

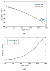
Au薄膜光学模型仿真

Au薄膜的介电常数拟合(a)介电常数实部(b)介电常数虚部 

Au薄膜的介电常数拟合(a)介电常数实部(b)介电常数虚部

 

Au膜是一种金属材料用洛伦兹模型来描述,首先进行介电常数的拟合,介电常数实部在600nm-1200nm处拟合效果最佳,虚部则在400nm-1400nm的光谱范围内最佳。

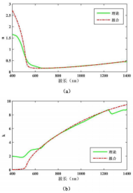
Au薄膜的光学常数拟合(a)拟合折射率n(b)消光系数k 

Au薄膜的光学常数拟合(a)拟合折射率n(b)消光系数k

介电常数和光学常数可以相互转化,只要测出薄膜材料的介电常数ε,就可以换算到光学常数n和k,反之亦然。同样在光谱范围400nm-1400nm内仿真拟合折射率n消光系数k,发现在600nm-1200nm是拟合效果好。


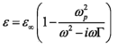
德鲁德(Drude)模型

德鲁德模型是一种自由电子气模型,主要用于描述含有自由电子的物质,如金属半导体等。

Drude模型是建立在自由电子气的基础上,因为其束缚力为零,所以本征振动频率为零。其中,电子间的相互作用被看作是碰撞或者是散射,其强度是通过阻尼系数来表达的。

image.png 

Ag薄膜光学模型仿真

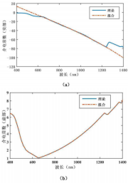
Ag薄膜的介电常数拟合(a)介电常数实部(b)介电常数虚部 

Ag薄膜的介电常数拟合(a)介电常数实部(b)介电常数虚部

Ag膜是具有自由电子的金属材料用德鲁德模型来描述,首先进行介电常数的拟合,介电常数实部在400nm-1200nm处拟合效果最佳,虚部则在400nm-1400nm的光谱范围内最佳。

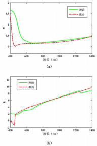
Ag薄膜的光学常数拟合(a)拟合折射率n(b)消光系数k 

Ag薄膜的光学常数拟合(a)拟合折射率n(b)消光系数k

同样在光谱范围400nm-1400nm内仿真拟合折射率n消光系数k,发现在600nm-1200nm是拟合效果好。


Tauc-Lorentz模型

由洛伦兹(Lorentz)模型衍生出来,主要是用于描述透明导电氧化物非晶态材料。为了解决非晶态材料复介电常数的虚部ε₂峰不对称。与洛伦兹模型的不同之处在于复介电常数的虚部ε₂是通过创造一个特殊的带隙(Tauc带隙)进行建模,表示为:

image.png 

本文重点对色散模型的选取进行了详细的分析,并对常见的薄膜样品SiO₂、AuAg进行了光学特性建模仿真,使用色散模型拟合了光学常数介电常数。结果显示,每种色散模型都具有其常用的应用场合,可根据实际测量需要进行选择。模型的选择影响着椭偏数据分析结果的准确度,因此在测量前要进行适当的分析和判断。


Flexfilm全光谱椭偏仪

Flexfilm全光谱椭偏仪技术支持:180-1566-6117 

技术支持:180-1566-6117

全光谱椭偏仪拥有高灵敏度探测单元光谱椭偏仪分析软件,专门用于测量和分析光伏领域中单层或多层纳米薄膜的层构参数(如厚度)和物理参数(如折射率n、消光系数k)

✔ 先进的旋转补偿器测量技术:无测量死角问题。

✔ 粗糙绒面纳米薄膜的高灵敏测量:先进的光能量增强技术,高信噪比的探测技术。

✔ 秒级的全光谱测量速度:全光谱测量典型5-10秒。
✔ 原子层量级的检测灵敏度:测量精度可达0.05nm。

Flexfilm全光谱椭偏仪可以为不同薄膜材料配置了色散公式和材料模型,专门用于测量和分析单层或多层薄膜的层构参数(如厚度)和物理参数(如折射率n、消光系数k)。费曼仪器致力于帮助客户实现工艺优化、性能提升及合规认证,以创新技术赋能智能制造,助力全球薄膜材料领域的高质量发展。

原文参考:《广义椭偏技术的薄膜测量及误差修正方法研究》

相关产品

×

名字 *

公司

职称

电子邮件 *

电话号码 *

城市 *

国家

请选择产品

我有兴趣接受有关以下内容的信息 *

我的留言

提交