基于光谱椭偏术的多层结构介质衍射光栅表征研究
在集成光学与光子器件研究中,介电衍射光栅是耦合布洛赫表面波等导模的关键元件,但其亚微米尺度的几何参数难以通过显微技术精确表征。Flexfilm全光谱椭偏仪可以非接触对薄膜的厚度与折射率的高精度表征,广泛应用于薄膜材料、半导体和表面科学等领域。
本研究采用光谱椭偏术(SE)对制备于布洛赫表面波(BSW)支撑多层结构上的亚微米周期介质光栅进行光学表征与建模,在建模过程中考虑仪器的有限光谱带宽等非理想因素,对准确描述实验光谱至关重要。通过椭偏数据分析获得的光栅几何参数与原子力显微镜(AFM)扫描结果高度一致,验证了椭偏模型的可靠性。该研究为光栅耦合器的光学表征提供了有效方法,并强调了考虑仪器带宽的重要性。
实验方法
样品制备
多层结构:采用脉冲激光沉积(PLD)技术在蓝宝石衬底上生长。结构包含一个150 nm厚的钇稳定氧化锆(YSZ)顶层和一个由7对Al₂O₃(90 nm)/YSZ(72 nm)组成的DBR,该设计用于支持BSW。
光栅制备:通过 “金硬掩模 + FIB 刻蚀 + 干法刻蚀” 实现:金层(约 150 nm 厚)通过溅射沉积(30 W、90 s、100 sccm Ar)制备,在YSZ顶层制作了三种不同标称尺寸(L = 400, 400, 450 nm; h = 30, 40, 40 nm)的一维光栅( 50×50 μm²)。
表征技术
原子力显微镜(AFM):用于光栅形貌测量和几何参数(L, h, η)的预先提取。
反射率图测量:用于观测光栅耦合激发的BSW模式。
成像光谱椭偏仪:在2–4 eV光谱范围、45°和55°入射角下,测量光栅区域的Ψ和Δ光谱。测量考虑了仪器的有限光谱带宽(δE)和空间分辨率(~1 μm)。
椭偏模型与分析方法
薄膜介电函数建模

不同材料模型介电函数的柯西参数
不同材料的介电函数(DF)预先通过光谱椭偏仪测定,测试样品为与多层结构厚度相当、沉积参数一致的单层薄膜,采用柯西模型(n = A + B/λ² + C/λ⁴)描述了YSZ、Al₂O₃和蓝宝石在透明光谱范围内的介电函数。
光栅层建模
样品几何示意图
采用严格耦合波分析(RCWA)对光栅进行建模。将光栅层的介电函数在倒空间中以傅里叶级数展开,计算系统的(4N×4N)散射矩阵,并最终推导出镜面反射(m=0)下的椭偏参数Ψ和Δ。
仪器带宽效应

(a) 椭偏仪带宽(单位 meV)随光子能量的变化关系(b) 卷积过程中使用的不同点数所对应的高斯权重
研究的关键创新点在于将椭偏仪的有限光谱带宽(δE)纳入模型。通过在与每个测量能量点E₀对应的[E₀ - δE/2, E₀ + δE/2]区间内进行高斯加权卷积(使用nw=25个点),有效模拟了带宽对测量光谱的展宽效应,这对于准确复现窄带光学响应特征至关重要。
实验结果与分析
AFM表征
不同光栅的原子力显微镜形貌图:(a)标称周期 L = 400 nm,高度 h = 30 nm;(b)L = 400 nm, h = 40 nm;(c)L = 450 nm, h = 40 nm。比例尺为 400 nm
结果表明,成功制备了均匀性良好的光栅,截面接近矩形(侧壁略有倾斜),表面脊和沟槽光滑;除L=400 nm、h=40 nm 光栅的第一个沟槽(归因于掩模或光栅中的液滴)外,其余参数的绝对中值偏差均小于 5%;需注意,脊边缘的尖锐特征可能是测量伪影(反向扫描时脊的另一侧会出现相同特征)。提取的几何参数作为与椭偏分析对比的基准。
BSW模式的激发与观测
(a) BSW的指数衰减场分布叠加在样品介电函数分布图上(固定能量下);(b) 和 (c) 分别展示了周期 L = 400 nm、高度 h = 30 nm 的光栅区域的测量和模拟反射率映射图。高反射率的窄色散线对应于不同衍射级次 m 的准布洛赫表面波模式
布洛赫表面波的电磁场在z=0 nm 表面界面两侧呈指数衰减,反射谱图显示了通过光栅耦合激发的、不同衍射级次(m=±1, ±2)的BSW模式色散曲线,并在θ=0°处观察到模式耦合引起的避免交叉现象。
光谱椭偏分析
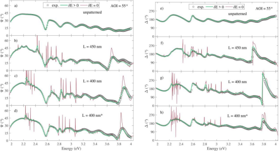
不同晶格常数和光栅几何形状在入射角(AOI)= 55° 下的 Ψ [(a)-(d)] 和 Δ [(e)-(h)] 光谱;绿色实线-包含带宽效应的模型拟合结果,红线-相同光谱在忽略带宽(即 δE = 0)情况下计算的结果
带宽效应的重要性:对比显示,忽略带宽(δE=0)的模型虽能预测共振能量位置,但严重低估了共振峰的宽度和幅度,无法准确描述实验数据。包含带宽的模型则与实验光谱高度吻合。
BSW特征峰:在Ψ和Δ光谱中观察到了由光栅耦合激发的TM和TE偏振BSW模式特征峰,这些峰在未图案化区域的光谱中不存在。
椭偏模型与 AFM 参数对比
光谱椭偏术(SE)与原子力显微镜(AFM)对三种光栅几何参数的测量结果
通过拟合包含带宽的模型,提取了光栅的L, h, η等几何参数。与AFM结果对比显示,二者总体吻合良好:
周期L:椭偏分析结果比 AFM 值略低 1%-2%(系统误差);
高度h:模型对h敏感,但相对差异约 10%(部分源于 AFM 扫描范围 1×1 μm² 与椭偏仪测量的 50×50 μm² 光栅平均区域不同,且模型假设的完美矩形轮廓与实际光栅存在偏差);
占空比η:两种测量技术的结果吻合极佳;
表面厚度(含光栅层):所有几何结构的表面厚度均恒定,表明薄膜均匀性良好;
方位角偏移φ:处于椭偏仪目视对准样品的公差范围内。
本研究发展并验证了一种基于光谱椭偏术的严格耦合波分析模型,成功实现对多层介质结构上一维光栅的精确表征。结果表明,光栅可有效耦合激发布洛赫表面波模式,而椭偏测量中仪器光谱带宽的引入是准确描述窄带光学响应特征的关键因素。通过该模型提取的光栅几何参数(周期、槽深、占宽比)与原子力显微镜测量结果高度一致,其中周期与占宽比吻合尤佳,槽深参数偏差小于10%。该方法为光栅及微纳结构的光学无损表征提供了可靠技术手段,对集成光学元件设计与分析具有重要应用价值。
技术支持:180-1566-6117
全光谱椭偏仪拥有高灵敏度探测单元和光谱椭偏仪分析软件,专门用于测量和分析光伏领域中单层或多层纳米薄膜的层构参数(如厚度)和物理参数(如折射率n、消光系数k)。
▶先进的旋转补偿器测量技术:无测量死角问题。
▶粗糙绒面纳米薄膜的高灵敏测量:先进的光能量增强技术,高信噪比的探测技术。
▶秒级的全光谱测量速度:全光谱测量典型5-10秒。
▶原子层量级的检测灵敏度:测量精度可达0.05nm。
Flexfilm全光谱椭偏仪能非破坏、非接触地原位精确测量超薄图案化薄膜的厚度、折射率,结合费曼仪器全流程薄膜测量技术,助力半导体薄膜材料领域的高质量发展。
原文参考:Characterization of dielectric diffraction gratings on multilayer structures by spectroscopic ellipsometry