光谱椭偏仪入门指南:原理、方法与基础应用
在材料科学和光学表征领域,精确获取薄膜厚度与光学常数是理解材料性能的关键。然而,传统测量方法往往面临破坏样品、精度不足或难以适用于复杂微观结构的局限。针对这一问题,光谱椭偏仪(SE)作为一种非侵入式光学技术,通过分析偏振光在反射或透射过程中发生的振幅比(Ψ)和相位差(Δ)变化,实现对表面、界面和薄膜的高精度表征。Flexfilm全光谱椭偏仪可以非接触对薄膜的厚度与折射率的高精度表征,广泛应用于薄膜材料、半导体和表面科学等领域。
该方法基于菲涅尔方程和模型拟合,能够有效反演材料的厚度、折射率与消光系数,并结合Kramers-Kronig关系及Cauchy、Lorentz等色散模型,提升数据解析的物理合理性与准确性。本综述系统梳理了SE的基本原理与方法体系,旨在为初学者和跨领域研究者提供清晰的入门指引,并展现其在半导体、生物医学等多个前沿领域的应用潜力,凸显其作为现代材料表征核心工具的重要价值。
光谱椭偏法的理论基础
作为一种无损光学技术,SE 的核心价值在于通过分析光与样品的相互作用,推导材料的关键特性参数。其名称中的 “椭偏” 源于一个关键现象:偏振光经样品反射后,通常会从线偏振转变为椭圆偏振态。
核心测量参数
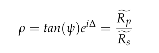
SE 的测量核心围绕两个关键参数展开—Δ与Ψ,二者均与入射光的波长和入射角密切相关:
Ψ:其正切值等于p偏振光与s偏振光反射系数的振幅比。取值范围为0°至90°,直接反映两种偏振光的振幅衰减差异;
Δ:p偏振光与s偏振光反射时的相位差。取值范围为0°至360°,描述了两种偏振光的相位变化规律。
为更精准地描述光的反射特性,SE引入了复反射系数比ρ,它是总反射系数的复比值,也是连接 Δ、Ψ 与材料特性的关键桥梁:

Rp和 Rs是整体的p和s偏振复反射系数,适用于分析多层结构和复杂界面
椭偏仪系统与光的偏振相互作用
(a)椭偏仪系统(b)单色偏振光束在空气环境中以标注为~φ 的角度入射到材料介质时,与材料介质相互作用的示意图
光的反射行为由菲涅尔方程精确描述。通过斯涅尔定律和菲涅尔方程,可以建立光学常数(n,k)、厚度与测量值(Ψ,Δ)之间的理论关系。然而,对于实际样品,直接反演方程通常很困难。因此,标准做法是:先通过实验在不同波长和入射角下测量 Ψ 和 Δ,再将其与基于假设材料模型(结构、厚度、光学常数)计算出的理论值进行拟合,通过最小化均方误差(MSE)来优化模型参数,从而获得最符合实验数据的材料属性。
斜入射角与布儒斯特角的重要性
涂覆玻璃片的 p 偏振光与 s 偏振光反射强度图
当入射角达到布儒斯特角 θB=arctan(n2/n1) 时,p偏振光的反射率理论上为零,这一现象是SE测量中一个重要的特征点。
光谱椭偏法的数据分析
基于菲涅耳方程计算预测响应的模型
SE 的核心目标是从偏振态变化中反推材料特性,而数据分析则是连接测量数据与材料参数的关键环节。不同光谱区的测量数据对应不同的材料信息,需结合合适的模型与方法进行解读。
不同光谱区的数据分析重点
SE 在不同光谱区的应用侧重点存在显著差异,这源于光与材料相互作用的机制不同:
紫外-可见区(UV-VIS):主要用于分析材料的带间跃迁(即电子在不同能带间的跃迁),通过观察吸收系数 α 随光子能量 hv 的变化,可精准推导材料的带隙 E₉—这对半导体、光电材料的研究至关重要;
红外区(IR):聚焦于材料的 “宏观特性” 与 “微观结构”:一方面,可分析自由载流子(电子或空穴)的吸收行为,进而获取载流子迁移率、浓度、电导率等电学参数;另一方面,能探测晶格振动模式(如 LO 声子、TO 声子)与局部原子结构,为介电材料、陶瓷材料的结构分析提供依据。
样品类型与分析模型的选择
针对不同复杂度的样品,SE 需采用不同的分析策略:
块状材料:可通过简化公式初步计算 “伪光学常数”(即忽略表面影响的近似值)但需注意,实际块状材料表面通常存在氧化层或粗糙度,这些因素会影响公式的准确性,需在后续分析中修正;
复杂样品(如多层膜、非均匀材料、粗糙表面):需依赖 “模型拟合” 策略—先假设一个符合样品结构的光学模型(如多层膜结构、含粗糙层的模型),计算该模型对应的 Δ、Ψ 理论值,再与实验测量值对比,通过调整模型参数(如各层厚度、光学常数)使理论值与实验值的均方误差(MSE)最小化,最终得到准确的材料参数。
“有效介质近似(EMA)” 是分析混合体系的重要工具—它可将两种或三种不同材料 “等效” 为一种混合层,从而描述表面粗糙度、多孔结构或多晶材料的光学特性。
SE的优势与局限性
SE 的技术优势使其在材料表征中脱颖而出,但也存在不可忽视的局限性:
优势:非接触、非破坏性、测量速度快、灵敏度极高(厚度分辨率可达0.1 Å),适用于实时监测和复杂模型仿真。
局限性:属于间接测量,依赖光学模型的准确性;光斑较大,空间分辨率较低;表征超薄薄膜(<10 nm)和低吸收材料时面临挑战。
光谱椭偏法在材料科学中的典型应用
半导体技术:SE广泛应用于测量外延薄膜厚度、界面粗糙度、掺杂浓度分布以及离子注入造成的损伤剖面分析。
薄膜表征:在微电子、光伏、光学镀膜和传感器领域,SE是测量薄膜厚度和光学常数的标准工具。
表面科学:可用于研究表面粗糙度、自组装单层(SAMs)、以及蛋白质吸附等界面现象。
各向异性材料:Mueller矩阵光谱椭偏仪(MMSE)能够测量完整的偏振响应,是分析各向异性材料(如液晶、二维材料)的强大工具。
纳米材料:用于研究纳米颗粒、量子点等的尺寸效应、等离子体共振和介电响应。
原位与实时监测:可在材料生长、沉积或化学反应过程中实时监测厚度和光学性质的变化动力学。
生物医学:由于其非侵入性,SE被用于研究生物分子相互作用、细胞吸附、病毒-表面作用,乃至癌症生物标志物的高灵敏度检测。
光谱椭偏仪已成为材料表征工具箱中不可或缺的一部分。它能够非破坏性地、高精度地解析从半导体到生物膜等各种材料的结构与光学性质。
技术支持:180-1566-6117
全光谱椭偏仪拥有高灵敏度探测单元和光谱椭偏仪分析软件,专门用于测量和分析光伏领域中单层或多层纳米薄膜的层构参数(如厚度)和物理参数(如折射率n、消光系数k)。
▶先进的旋转补偿器测量技术:无测量死角问题。
▶粗糙绒面纳米薄膜的高灵敏测量:先进的光能量增强技术,高信噪比的探测技术。
▶秒级的全光谱测量速度:全光谱测量典型5-10秒。
▶原子层量级的检测灵敏度:测量精度可达0.05nm。
Flexfilm全光谱椭偏仪能非破坏、非接触地原位精确测量超薄图案化薄膜的厚度、折射率,结合费曼仪器全流程薄膜测量技术,助力半导体薄膜材料领域的高质量发展。
原文参考:《Spectroscopic Ellipsometry: Advancements, Applications and Future Prospects in Optical Characterization》