如何选择台阶仪的触针针尖?基于三维仿真与谱分析的选型标准研究
台阶仪因其测量的直接性和数据的可追溯性,在表面形貌精密测量中始终占据关键地位。然而,其触针的球状针尖在扫描表面时,无法完全复现真实的峰谷结构,导致所测轮廓与实际轮廓存在差异,此现象被称为“轮廓畸变”或“机械滤波”。Flexfilm探针式台阶仪可以实现表面微观特征的精准表征与关键参数的定量测量,精确测定样品的表面台阶高度与膜厚,为材料质量把控和生产效率提升提供数据支撑。
本研究开发了更接近现实的三维接触模型,将触针针尖视为球体,能够模拟其在三维表面数据上的真实接触状态,从而更精确地计算轮廓畸变。

台阶仪采集轮廓数据的示意图
核心方法:从2D到3D的测量仿真模型
(a)台阶仪的二维表面轮廓测量模型;(b)台阶仪的三维表面轮廓测量模型;(c)球形针尖触针在真实表面上的示意图 ;(d)AFM数据轮廓拼接示意图
以往研究多采用二维模型进行分析,即假设触针在一条剖面线上运动。该模型将针尖简化为一个圆,通过寻找与表面轮廓相切的点来模拟接触,从而计算出失真的测量轮廓。
然而,真实表面是三维的。针尖在实际接触中可能受到扫描线两侧峰谷的影响,导致实际接触点偏离扫描线。为此,本研究开发了更接近现实的三维接触模型。该模型将针尖视为一个球体,在三维表面数据上搜索最低接触点,从而能够更精确地模拟实际测量过程,并计算出更真实的轮廓失真误差。
仿真数据基础:基于真实表面的AFM数据
为确保仿真结果的可靠性,本研究未使用基于统计理论生成的模拟表面,而是采用原子力显微镜获取了六种典型加工表面(如研磨、磨削、铣削等)的真实三维形貌数据。AFM的纳米级针尖可以捕获表面最精细的细节,这些细节是传统触针仪无法测量的,因此可作为评估触针仪失真的“理想参考”。
核心发现:3D模型的优势与失真验证
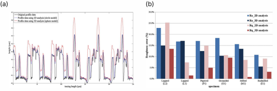
2D与3D仿真结果对比
(a)使用针尖半径 r=10 μmr=10 μm 对样本L2进行测量仿真的结果;(b)触针针尖曲率引起的相对粗糙度误差
仿真结果表明,3D模型由于考虑了扫描线外的接触点,其计算出的轮廓失真、粗糙度参数(如Ra, Rq)误差与实际接触点分布,均与2D模型存在显著差异。
例如,在部分样本上,2D与3D模型计算出的Ra误差最大可相差8.5%。这证明3D模型能更准确地反映触针测量的真实物理过程。
仿真结果与实际测量对比
模拟轮廓数据结果与实际测量结果的粗糙度比较
为验证3D仿真模型的有效性,研究使用商业台阶仪对同一样本进行了大量重复测量。
将实际测量的粗糙度平均值与3D仿真结果进行对比,两者差异在3%以内。这表明本研究开发的3D仿真模型具有很高的可信度,能够有效预测实际测量结果。
谱分析与针尖选择标准
短波长限值的定义
累积功率谱(样本:磨削 G1)
为了量化失真对表面不同频率(波长)成分的影响,本研究引入了归一化累积功率谱分析。
核心思想:触针针尖就像一个低通滤波器,会滤除表面的高频(短波长)成分。
短波长限值:定义为累积功率达到总功率95%时所对应的波长。波长短于SWL的表面成分被认为受到针尖的严重失真,在分析中不可靠。
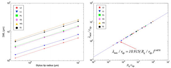
针尖半径、表面粗糙度与SWL的关系
左:根据触针针尖半径计算的短波长限值(3D模型,对数坐标);右 可用波成分的粗糙度和短波长限值与触针针尖半径的关系
仿真分析明确显示:触针针尖半径越大,SWL值也越大,意味着更多表面细节信息被滤除。这一关系在对数坐标下近似呈线性。
研究进一步建立了针尖半径、表面粗糙度Rq和SWL三者之间的经验关系式。这意味着,对于一个已知大致粗糙度的表面,如果希望测量中能保留特定波长(如λmin)的表面信息,可以通过该关系式反推出应选用的最大针尖半径。
结论与工业应用价值
模型优势:本研究证实,三维接触模型在分析和预测台阶仪的测量失真方面,显著优于传统的二维模型。
量化标准:通过累积功率谱分析,明确了触针测量中短波长限值的概念,并将其与针尖半径和表面粗糙度关联起来。
科学选型:突破了现有ISO标准仅凭经验选择针尖半径的局限,提出了一个基于表面纹理特征和数据可靠性需求的、量化的触针针尖选择准则。工程师可以根据期望保留的最短表面波长和工件的预估粗糙度,科学地选择最合适的触针,从而实现更精确、可追溯的表面测量与评价。
本研究为台阶仪的用户提供了一个基于表面纹理特征和数据可靠性需求的、量化的触针针尖选择准则。工程师可以根据期望保真的最短表面波长,科学地选择触针针尖半径,从而提升台阶仪测量数据的准确性与可靠性。

技术支持:180-1566-6117
在半导体、光伏、LED、MEMS器件、材料等领域,表面台阶高度、膜厚的准确测量具有十分重要的价值,尤其是台阶高度是一个重要的参数,对各种薄膜台阶参数的精确、快速测定和控制,是保证材料质量、提高生产效率的重要手段。
l 配备500W像素高分辨率彩色摄像机
l 亚埃级分辨率,台阶高度重复性1nm
l 360°旋转θ平台结合Z轴升降平台
l 超微力恒力传感器保证无接触损伤精准测量
费曼仪器作为国内领先的薄膜厚度测量技术解决方案提供商,Flexfilm探针式台阶仪可以对薄膜表面台阶高度、膜厚进行准确测量,保证材料质量、提高生产效率。
原文参考:Assessment of surface profile data acquired by a stylus profilometer