椭偏光谱技术在VO₂薄膜光诱导IMT中的应用:瞬态介电函数的动力学路径解析
二氧化钒(VO₂)作为一种强关联电子材料,在约68°C时会发生绝缘体-金属相变(IMT),并伴随晶体结构变化,这一现象使其在超快光子器件(如光开关和调制器)中具有巨大应用潜力。然而,要实现对其光诱导相变的有效控制,必须深入理解其飞秒至皮秒尺度的超快动力学过程,而传统探测手段难以直接获取相变过程中材料光学性质(如介电函数)的完整动态信息。Flexfilm全光谱椭偏仪可以非接触对薄膜的厚度与折射率的高精度表征,广泛应用于薄膜材料、半导体和表面科学等领域。
本研究首次应用宽带时间分辨泵浦-探测椭偏光谱技术,以35fs激光脉冲驱动VO₂薄膜,100fs分辨率捕捉1.7-3.5eV光谱范围复伪介电函数演化,识别出与泵浦参数相关的热/非热动力学过程,明确热与光诱导IMT的核心差异在泵浦后首个皮秒(非平衡动力学主导),为凝聚态相变及光子器件研究提供关键工具。
研究方法:如何捕捉超快光学响应?
样品制备:采用磁控溅射技术在石英衬底上制备了25纳米厚的多晶VO₂薄膜。
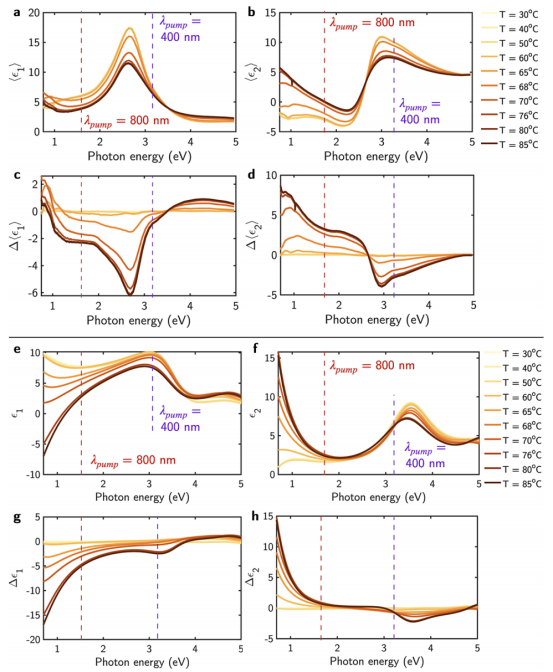
静态表征:首先利用光谱椭偏仪(30-85°C)测量了VO₂薄膜在热诱导相变过程中的伪介电函数〈ε〉=〈ε₁〉+i〈ε₂〉,建立了相变的静态光学基准。
泵浦-探测时间分辨光谱椭偏仪实验装置示意图
超快动力学测量:核心实验装置如图所示。
泵浦:使用35fs的激光脉冲(波长400nm或800nm)激发样品,诱导相变。
探测:利用宽谱超连续白光脉冲(1.7-3.5eV)作为探测光,以100fs的时间分辨率测量泵浦后不同延迟时间下的椭偏参数(Ψ,Δ),进而计算出瞬态的复数伪介电函数。
热诱导相变(静态)
VO₂薄膜的(a)实部和(b)虚部伪介电函数〈ε₁〉和〈ε₂〉随温度的变化。(c)实部和(d)虚部伪介电函数的变化量Δ〈ε₁〉和Δ〈ε₂〉,以室温下的〈ε〉为参考。(e)VO₂薄膜介电函数的实部ε₁和(f)虚部ε₂。(g)实部和(h)虚部介电函数的变化量Δε₁和Δε₂,以室温下的ε为参考。
随着温度升高,VO₂的光学性质在68°C附近发生突变。特别是在近红外区域,介电函数实部ε₁由正转负,这是典型的介电体向金属转变的特征。我们定义在2eV光子能量下,Δ〈ε₁〉<-1.95作为判断薄膜进入金属态的光学判据。
光诱导相变(动态)
在ps时间延迟区间内瞬态(a,c,e)伪介电函数实部和(b,d,f)虚部

动态Δ〈ε₂〉与Δ〈ε₁〉的关系随延迟时间t的变化
轨迹对比揭示动力学差异:通过绘制Δ〈ε₂〉与Δ〈ε₁〉的动态关系图,并将其与热诱导路径对比发现:
初始阶段(<1ps):光诱导路径显著偏离热平衡路径,这表明存在一个由光生载流子直接驱动 的非热相变成核 过程。
中间阶段(1ps后):两条路径重合,表明能量已传递给晶格,相变由热驱动 的金属域生长主导。
弛豫阶段:薄膜冷却并恢复至绝缘态,其路径与热诱导路径基本重合。
泵浦参数的影响
VO₂薄膜在2eV处的Δ〈ε₂〉在不同时间尺度下的时间分辨变化
能量密度:存在一个相变阈值Fth。高于Fth时,相变幅度和恢复时间均随泵浦能量密度增加而增加。
波长:400nm泵浦在所有测试能量下均能引发完全相变;而800nm泵浦则存在清晰的阈值,且其相变动力学对能量密度更敏感。
超快动力学分解:通过模型拟合,我们将相变过程分解为两个特征时间:
τ_fs(飞秒-皮秒):代表非热成核 的超快过程。
τ_ps(皮秒):代表热致生长 的较慢过程。
两者均随泵浦能量密度增加而缩短,表明更强的激发会加速成核与生长。
器件应用潜力:实验证实,薄膜在经历超过3千万次超快激光循环后性能依然稳定,展现了其在超快光子器件 中应用的巨大耐久性潜力。
用于捕获VO₂薄膜在光诱导和热诱导IMT过程中伪介电函数的测量示意图总结
本研究首次通过宽带时间分辨泵浦-探测光谱椭偏技术,以100飞秒分辨率、1.7-3.5eV宽光谱范围,捕捉到VO₂薄膜光诱导绝缘体-金属相变(IMT)过程中的复伪介电函数变化;对比热诱导与激光诱导IMT发现,两者核心差异出现在泵浦后首个皮秒内,由该超快尺度下的非平衡动力学驱动。实验结合35飞秒、400nm/800nm两种泵浦波长及不同能量密度,识别出两类动力学行为:泵浦能量密度低于阈值时,无金属相但伪介电函数瞬变且弛豫快(≈1纳秒);高于阈值时,先经<1皮秒的非热过程实现金属相成核,再通过热扩散驱动金属畴生长,恢复至绝缘态需>3纳秒。同时证实25nmVO₂薄膜耐受寿命至少3×10⁷次循环,与文献稳定性记录一致。这些发现深化了VO₂薄膜IMT超快动力学认知,也凸显该椭偏技术对强关联材料相变研究的价值,为相变材料在新型光子器件中的应用提供关键指导。
技术支持:180-1566-6117
全光谱椭偏仪拥有高灵敏度探测单元和光谱椭偏仪分析软件,专门用于测量和分析光伏领域中单层或多层纳米薄膜的层构参数(如厚度)和物理参数(如折射率n、消光系数k)。
▶先进的旋转补偿器测量技术:无测量死角问题。
▶粗糙绒面纳米薄膜的高灵敏测量:先进的光能量增强技术,高信噪比的探测技术。
▶秒级的全光谱测量速度:全光谱测量典型5-10秒。
▶原子层量级的检测灵敏度:测量精度可达0.05nm。
Flexfilm全光谱椭偏仪能非破坏、非接触地原位精确测量超薄图案化薄膜的厚度、折射率,结合费曼仪器全流程薄膜测量技术,助力半导体薄膜材料领域的高质量发展。
原文参考:Subpicosecond Spectroscopic Ellipsometry of the Photoinduced Phase Transition in VO2 Thin Films