新型椭圆偏振法SHEL在纳米尺度面积表面测量的应用
纳米技术的发展催生了从超光滑表面到复杂纳米结构表面的制备需求,这些表面的精确测量对质量控制至关重要。然而,当前纳米尺度表面测量技术面临显著挑战:原子力显微镜(AFM)测量速度慢、扫描面积有限;扫描电子显微镜(SEM)可能损伤样品;白光干涉仪(WLI)则受限于横向分辨率和参考面需求。传统椭偏仪虽能通过分析偏振态变化间接表征表面,但其依赖旋转光学元件的设计易引入系统误差,限制了测量稳定性和精度。Flexfilm全光谱椭偏仪可以非接触对薄膜的厚度与折射率的高精度表征,广泛应用于薄膜材料、半导体和表面科学等领域。
本研究提出了一种基于光自旋霍尔效应(SHEL)的新型椭偏技术。SHEL是光在界面处因自旋-轨道相互作用产生的亚波长光束位移现象,对界面光学特性变化极为敏感。该技术结合弱测量方法放大微小位移,通过测量反射光束的横向偏移来反演表面特性。对于粗糙度小于波长十分之一的表面,可建模为具有等效厚度和折射率的薄膜,进而实现纳米级表面形貌的二维重建。这种创新方法既避免了传统椭偏仪中相位延迟器带来的误差,又保持了高灵敏度,为纳米表面测量提供了一种稳定、高效的新解决方案。
椭偏仪与SHEL的结合
椭偏仪传统上用于薄膜厚度和折射率的高精度测量,后被发现对表面粗糙度具有高灵敏度。其粗糙度识别可用于修正物理参数或区分不同粗糙度级别,常与AFM等互补使用。椭偏仪通过测量偏振态(非光强)确保高可靠性,但使用旋转调制器时可能引入系统误差。
近年来,光自旋霍尔效应(SHEL)在精密测量中的应用备受关注。SHEL是光束在折射率梯度界面处的横向位移,已用于薄膜厚度、折射率变化、光学常数乃至温度的测量,并适用于透明介质、金属和超表面等多种材料。SHEL位移正比于工作界面特性,早期观测困难,自弱测量方法引入后得以简化。弱测量通过预设初始和最终偏振态放大微弱信号,其原理类似于椭偏仪。结合有效介质近似(EMA)模型,SHEL椭偏技术有望成为提供纳米表面信息的成像工具。
SHEL椭偏原理
光自旋霍尔效应在界面处的原理示意图
光在平面界面(反射或折射)的行为通常由斯涅尔定律和菲涅尔方程描述,但对有限宽度约束光束(如高斯光束)而言,还需考虑波长尺度的偏移——面内古斯-汉欣位移和面外英伯特-费多罗夫位移。后者与圆偏振光的总内反射相关,源于自旋-轨道相互作用及角动量守恒,即SHEL。
光的角动量包括与圆偏振相关的自旋角动量(SAM)、与光束螺旋相位相关的内禀轨道角动量(IOAM)及表征光束轨迹的外禀轨道角动量(EOAM)。自旋-轨道相互作用引发SHEL:携带SAM的光束以θᵢ入射至折射率梯度界面时,SAM转化为EOAM,导致光束偏离预期轨迹。线偏振光入射后反射为手性相反的圆偏振光分束,两束光相对于入射面对称偏移δᵣ。
SHEL位移公式为:
通过测量δᵣ可反演界面光学参数,实现类椭偏测量。水平(H)与垂直(V)偏振入射的SHEL位移分别为:
其中rₚ和rₛ为p与s偏振的菲涅尔反射系数。SHEL位移量级为亚波长级(δᵣ≈λ/2π),需借助弱测量进行放大。
弱测量通过选择偏振态作为初态|i⟩和末态|f⟩,实现弱值放大:
放大后的SHEL位移为δA = F|Aw|δᵣ,其中F为自由传播因子。针对水平偏振入射,一阶模型在远离布鲁斯特角时有效,近布鲁斯特角时需采用修正模型:
界面建模与参数提取
SHEL椭偏仪的光路示意图,(插图)弱测量所对应的偏振片状态
SHEL椭偏技术通过建模解析数据,关键参数ρ = rₚ/rₛ。在理想空气-玻璃界面(无粗糙度)中,ρ直接由菲涅尔公式定义,反演得到“伪折射率”。对于粗糙度小于λ/10的表面,采用EMA模型将粗糙层视为等效薄膜,其光学特性由空气与体材料复合而成(体积分数常取0.5)。此时界面结构为空气-粗糙层-基底,ρ由多层反射公式计算:
其中χ = exp(-4π dEMA n₁ cosθ₁/λ),dEMA为粗糙度等效厚度。通过SHEL位移观测值可反演伪折射率或等效厚度。
数值模拟

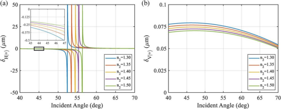
不同折射率样品下SHEL位移随入射角变化的数值计算(a)水平偏振入射光束 (b)垂直偏振入射光束
针对具有不同粗糙度水平的SiO₂平片,水平偏振入射的数值计算(彩色线),与菲涅尔光滑表面模型(黑线)对比 (a)原始SHEL位移 (b)基于公式5的弱测量放大后的SHEL位移
数值计算显示,水平偏振入射的SHEL位移显著大于垂直偏振,且位移在布鲁斯特角θB附近显著增大,对折射率变化敏感。垂直偏振入射虽无θB限制,但位移范围小,测量精度要求高。考虑粗糙层后,不同等效厚度会改变SHEL位移,表明其可用于纳米粗糙度检测。
实验设置与方法
SHEL椭偏仪的光学实验装置图
实验装置包括入射臂、样品台和检测臂。光源为He-Ne激光(λ=632.8 nm),产生线偏振高斯光束。偏振片对实现弱测量:入射臂偏振片P1设定初态,透镜(f=100 mm)聚焦至样品;检测臂偏振片P2设定末态(与P1夹角90±ε),透镜(f=175 mm)将反射光准直至CCD记录偏移。样品台搭载双旋转架,可调节入射角,并置于xy平移台上实现扫描。为避免误差,系统未使用相位延迟器。
实验流程包括:设置入射角→调整偏振片至正交态(ε=0)观察分束→引入ε进行弱测量→执行静态单点或光栅扫描测量。
实验验证与性能评估
通过单点伪折射率测量进行精度验证(a)由不同材料(MgF₂, n=1.37; CaF₂, n=1.43; SiO₂, n=1.45)平片窗口组成的样品 (b)水平偏振入射光束的测量结果 (c)垂直偏振入射光束的测量结果
从SiO₂ (n=1.45) 样品反射的放大SHEL位移测量结果与不同弱测量模型的比较,红色虚线代表一阶弱测量模型,蓝色实线代表二阶弱测量模型,黑色圆点代表每个入射角(40°至70°)下测得的位移值 (a)方位角 0.5° (b)方位角 1.0° (c)方位角 1.5°
单点静态测量验证了技术的准确性。对三种已知折射率的光学窗口(MgF₂、CaF₂、SiO₂)进行测试,水平偏振入射的测量结果与实际值高度吻合,平均误差小于1%。相比之下,垂直偏振入射因位移信号较弱,测量精度较差。
光学样品的扫描测量结果(a)MgF₂ (n=1.37) (b)CaF₂ (n=1.43) (c)SiO₂ (n=1.45)
光学平片不同区域的扫描(a)样品示意图 (b)中心区域的重建结果 (c)边缘区域的重建结果
光学平片四个象限边缘区域的扫描,显示SHEL椭偏仪检测到的外缘圆周具有不同粗糙度水平:(a)第1区域结果 (b)第2区域结果 (c)第3区域结果 (d)第4区域结果
二维扫描测量展示了技术的空间分辨能力。对3×4 mm区域的光学样品进行光栅扫描,成功重建出表面伪折射率分布图,清晰显示出划痕、污染等表面特征。对熔石英光学平晶的中心与边缘区域对比测量表明,技术能够有效区分不同粗糙度区域。
AFM与SHEL椭偏仪对抛光与未抛光表面的对比(a)抛光表面的AFM图像 (b)未抛光表面的AFM图像 (c)抛光表面的SHEL扫描结果 (d)未抛光表面的SHEL扫描结果
定量对比实验进一步证实了技术的实用性。对同一SiO₂基片的抛光与未抛光面进行AFM和SHEL对比测量:AFM测得的算术平均粗糙度Sa分别为0.605 nm和1.25 nm;SHEL测得的等效厚度dEMA分别为48.65±6.73 nm和55.89±11.76 nm,趋势完全一致。
技术优势与应用前景
SHEL椭偏技术具有多重优势:
非接触、无损测量,适合各种光学材料
硬件配置简洁,稳定性好,适合长期监测
无样品尺寸限制,支持大面积快速扫描
测量结果可通过不同物理模型灵活解读
该技术特别适用于超光滑光学元件、半导体晶圆、功能化纳米表面的质量检测。在高端光学制造、集成电路工艺监控、新型材料研发等领域具有广阔应用前景。
本文验证了SHEL椭偏技术在面积表面测量中的应用。模型与实验吻合良好,后选择方位角ε对测量结果影响显著。扫描SHEL椭偏成功重建纳米级表面特征,抛光与未抛光表面的对比测量验证了其作为新型粗糙度测量技术的潜力。粗糙度参数可根据样品特性表示为伪折射率或等效厚度。SHEL对介质折射率变化的高灵敏度为纳米表面检测带来重要优势,结合无样品尺寸限制及大面积快速评估能力,展现出广阔应用前景。未来需进一步开发精度评估方法与校准技术。
技术支持:180-1566-6117
全光谱椭偏仪拥有高灵敏度探测单元和光谱椭偏仪分析软件,专门用于测量和分析光伏领域中单层或多层纳米薄膜的层构参数(如厚度)和物理参数(如折射率n、消光系数k)。
▶先进的旋转补偿器测量技术:无测量死角问题。
▶粗糙绒面纳米薄膜的高灵敏测量:先进的光能量增强技术,高信噪比的探测技术。
▶秒级的全光谱测量速度:全光谱测量典型5-10秒。
▶原子层量级的检测灵敏度:测量精度可达0.05nm。
Flexfilm全光谱椭偏仪能非破坏、非接触地原位精确测量超薄图案化薄膜的厚度、折射率,结合费曼仪器全流程薄膜测量技术,助力半导体薄膜材料领域的高质量发展。
原文参考:《Spin hall effect of light ellipsometry for nanoscale areal surface measurement》