(+86) 18015666117
我们能帮您找到什么?

椭偏仪在半导体的应用|不同厚度c-AlN外延薄膜的结构和光学性质

随着半导体器件向高温、高频、高功率方向发展,氮化铝(AlN)等宽禁带半导体材料的外延质量至关重要。薄膜的厚度、界面粗糙度、光学常数及带隙温度依赖性直接影响器件性能。Flexfilm全光谱椭偏仪可以非接触薄膜的厚度折射率的高精度表征广泛应用于薄膜材料、半导体和表面科学等领域

本文基于光谱椭偏技术,结合X射线衍射、拉曼光谱等方法,系统研究了c面蓝宝石衬底上生长的不同厚度AlN外延薄膜的结构与光学性质,重点通过高温变温椭偏分析,揭示了薄膜厚度对晶体质量、带隙热稳定性及应力状态的调控机制。


实验与方法

椭偏仪测试系统

本研究采用Flexfilm全光谱椭偏仪进行测试。测量时使用三个入射角:60°、65°和70°。变温测试通过变温台实现,温度范围300 K–850 K,每个温度点稳定15分钟后采集数据,以保证温度均匀性。

样品制备与测试流程

AlN 样品结构示意图 

AlN 样品结构示意图

样品采用MOCVD阶梯生长法c面蓝宝石衬底上制备,分别生长了名义厚度为2 μm(AlNt)和4 μm(AlNn)的AlN外延层。椭偏测试前未对样品进行特殊表面处理。测试在常压环境下进行,高温测试时使用水循环控温。

数据分析与误差控制

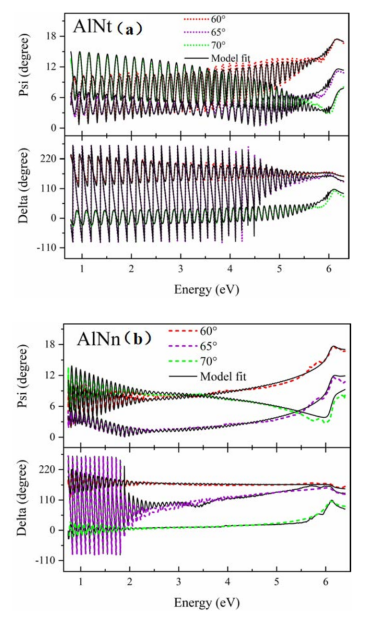
室温时样品(a)AlNt(b)AlNn测试与模型拟合的Ψ(λ)和Δ(λ)光谱 

室温时样品a)AlNt(b)AlNn测试与模型拟合的Ψ(λ)和Δ(λ)光谱

采用CompleteEASE软件建立四层物理模型(表面粗糙度/HT-AlN层/LT-AlN缓冲层/蓝宝石衬底)对椭偏光谱进行拟合。蓝宝石衬底光学常数取自文献并固定不变,AlN层采用高斯振子与Psemi振子组合描述。通过最小二乘法反复优化,获得膜厚、光学常数(n, k)、表面粗糙度及带隙等参数,拟合优度通过实验曲线与拟合曲线的吻合程度判断。


结果与讨论

薄膜厚度与光学常数的椭偏表征

室温下两个样品的拟合光学常数(折射率n和消光系数k) 

室温下两个样品的拟合光学常数(折射率n和消光系数k)

AlNt和AlNn薄膜样品横截面的SEM形貌图 

AlNt和AlNn薄膜样品横截面的SEM形貌图

通过室温椭偏拟合,获得AlNt和AlNn的外延层厚度分别为(1.78±0.04)μm和(3.67±0.05)μm,与SEM结果一致。表面粗糙度分别为(3.07±0.03)nm和(3.58±0.05)nm。室温下两个样品的折射率n与消光系数k随光子能量的变化关系在带隙附近,k值迅速上升,表明吸收边陡峭,晶体质量较高

带隙与Urbach带尾的椭偏分析

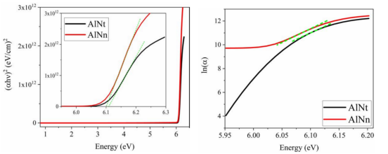
室温下两个AlN样品外延层(αhν)²和ln(α)与光子能量(hν)的关系图 

室温下两个AlN样品外延层(αhν)²ln(α)与光子能量()的关系图

通过(αhν)²-hν关系图线性拟合得到AlNt和AlNn的带隙分别为(6.11±0.01)eV和(6.10±0.02)eV。基于吸收系数α的指数衰减区域,通过lnα-hν关系拟合得到Urbach带尾能量Eu分别为(50±0.02)meV和(45±0.02)meV。较厚的AlNn样品Eu更小,表明其结构无序度更低、晶体质量更好,与XRD测得的(0002)面半高宽变化趋势一致

高温变温椭偏揭示带隙热稳定性

高温变温SE测试数据拟合后得到的n和k 

高温变温SE测试数据拟合后得到的n和k

300 K–850 K温度范围内进行变温椭偏测试,获得了n、k及带隙Eg随温度的变化关系。结果显示,随着温度升高,吸收边红移,带隙减小。通过Bose-Einstein模型拟合Eg-T关系,得到AlNt和AlNn的平均电子-声子耦合能分别为(389±100)meV和(390±102)meV,特征温度分别为(800±154)K和(795±155)K。与文献中较薄样品(如136 nm样品耦合能为687 meV)相比,本研究中微米级厚度样品的耦合显著减弱,表明厚度增加可有效提升AlN带隙的热稳定性。当厚度达到微米级后,厚度对Eg温度依赖性的影响趋于饱和。

本研究通过光谱椭偏技术,准确表征了不同厚度c面AlN外延薄膜的厚度、光学常数、带隙及Urbach带尾,并结合高温变温测试,系统分析了薄膜厚度对晶体质量与热稳定性的影响。椭偏数据表明,厚度增加可降低薄膜的结构无序度,减小Urbach带尾,并显著弱化电子-声子耦合作用,从而增强带隙在高温下的稳定性。这些结果为面向高温工作的AlN基光电子器件设计与工艺优化提供了关键的薄膜质量评估依据。


Flexfilm全光谱椭偏仪

技术支持:180-1566-6117 

技术支持:180-1566-6117

全光谱椭偏仪拥有高灵敏度探测单元光谱椭偏仪分析软件,专门用于测量和分析光伏领域中单层或多层纳米薄膜的层构参数(如厚度)和物理参数(如折射率n、消光系数k)

▶先进的旋转补偿器测量技术:无测量死角问题。

▶粗糙绒面纳米薄膜的高灵敏测量:先进的光能量增强技术,高信噪比的探测技术。

▶秒级的全光谱测量速度:全光谱测量典型5-10秒。
原子层量级的检测灵敏度:测量精度可达0.05nm。

Flexfilm全光谱椭偏仪能非破坏、非接触地原位精确测量超薄图案化薄膜的厚度、折射率,结合费曼仪器全流程薄膜测量技术助力半导体薄膜材料领域的高质量发展。

原文参考:《Ⅲ族氮化物半导体薄膜的结构和光学性质研究》

相关产品

×

名字 *

公司

职称

电子邮件 *

电话号码 *

城市 *

国家

请选择产品

我有兴趣接受有关以下内容的信息 *

我的留言

提交