台阶仪在纳米薄膜工艺监控:基于三台阶标准的高精度厚度与沉积速率测定
纳米尺度测量通常依赖具有纳米特征的标准样品进行仪器校准。目前常见标准样品多为单台阶结构,由于仪器非线性,需使用不同高度值进行多次校准。多台阶标准样品可减少探针重复定位,提升校准效率。原子力显微镜与台阶仪是纳米结构测量的常用设备,后者具有更大扫描范围且对样品污染不敏感,但噪声较大且易受环境振动影响。光谱椭偏仪等方法可用于测量薄膜沉积速率,但其结果受材料特性与模型影响,且一般不提供不确定度。Flexfilm探针式台阶仪可以实现表面微观特征的精准表征与关键参数的定量测量,精确测定样品的表面台阶高度与膜厚,为材料质量把控和生产效率提升提供数据支撑。
本研究提出一种基于触针式轮廓仪(台阶仪)测量纳米级三台阶高度样品的方法。通过多项式拟合算法处理原始数据,以抑制低频伪影;采用截止频率为0.8/µm的低通滤波器滤除高频噪声,并结合十阶多项式进一步消除低频干扰。实验测得各台阶高度的不确定度在1 nm至2.2 nm之间。作为应用实例,根据台阶高度计算了薄膜沉积速率及其不确定度,结果为 0.0875 ± 0.0099 nm/cycle,与光谱椭偏仪测量结果(0.0880 nm/cycle)吻合良好。
测量与表征方法
样品与测量设置
三台阶高度样品的结构示意图,图中标注了台阶高度 h1=18 nm与 h2=8 nm
样品为通过原子层沉积与湿法刻蚀制备的三台阶结构,名义高度分别为8 nm、18 nm和26 nm。使用台阶仪进行测量,探针载荷0.05 mg,扫描速度0.0435 mm/s,扫描长度2 mm以覆盖全部三个台阶。测量前使用8 nm、18 nm和44 nm的单台阶标准样品进行仪器校准。
数据处理与噪声抑制
台阶仪测量的扫描轮廓图,显示原始测量数据中存在的低频伪影与高频噪声
(a)台阶仪扫描轮廓的功率谱密度图;(b)AFM扫描轮廓的功率谱密度图
不同环境条件下台阶仪扫描轮廓的功率谱密度峰值频率:(a)真空泵关闭时;(b)真空泵运行时

a多项式阶数对最小范数的影响b多项式阶数对台阶高度计算结果的影响
台阶仪测量数据包含低频伪影与高频噪声。通过功率谱密度分析发现,噪声主要集中于频率高于0.8/µm的区域,且部分峰值与环境振动(如真空泵工作)相关。数据处理流程如下:
采用Canny边缘检测定位台阶左右边缘;
使用十阶多项式拟合去除低频伪影;
应用截止频率0.8/µm的低通滤波器抑制高频噪声。
多项式阶数选择依据拟合残差范数随阶数变化曲线及台阶高度计算结果稳定性确定,十阶多项式可有效去除低频成分。
不确定度评估
不确定度评估的输入值,包括样品与标准样品的名义高度、测量平均值与标准偏差
线结构台阶高度的不确定度预算表,列出各不确定度分量及其来源、类型与数值
三台阶高度样品的台阶仪测量结果,包括名义高度、测量值及其扩展不确定度(k=2)
台阶高度取五个测量区域的平均值。不确定度评估包括标准样品校准值的不确定度、仪器重复性、垂直分辨率以及样品均匀性等分量。合成标准不确定度按测量模型计算,扩展不确定度取包含因子 k=2(置信水平95%)。
结果与应用:沉积速率计算
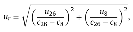
基于8 nm与26 nm台阶的测量高度及其不确定度,计算原子层沉积的稳定沉积速率:
其中 c26=260、c8=80为沉积循环次数。沉积速率的不确定度由高度测量不确定度传递得出:
计算得到沉积速率为 0.0875±0.0099nm/cycle。光谱椭偏仪测得结果为 0.0880 nm/cycle,两者相对偏差约 5.7%,在考虑模型误差(如薄膜非理想透明)下可认为结果一致。
本研究成功制备并测量了纳米级三台阶高度样品。通过多项式拟合与低通滤波结合的方法,有效抑制了台阶仪测量中的低频伪影与高频噪声,台阶高度测量不确定度优于 2.2 nm。基于台阶高度计算结果推导的薄膜沉积速率与光谱椭偏仪结果相符,验证了该方法在纳米薄膜工艺监控中的适用性。后续工作将聚焦于表面粗糙度与高频噪声的分离,并比较接触式与光学测量仪器的数据获取与处理策略。
技术支持:180-1566-6117
在半导体、光伏、LED、MEMS器件、材料等领域,表面台阶高度、膜厚的准确测量具有十分重要的价值,尤其是台阶高度是一个重要的参数,对各种薄膜台阶参数的精确、快速测定和控制,是保证材料质量、提高生产效率的重要手段。
✔ 配备500W像素高分辨率彩色摄像机
✔ 亚埃级分辨率,台阶高度重复性1nm
✔ 360°旋转θ平台结合Z轴升降平台
✔ 超微力恒力传感器保证无接触损伤精准测量
费曼仪器作为国内领先的薄膜厚度测量技术解决方案提供商,Flexfilm探针式台阶仪可以对薄膜表面台阶高度、膜厚进行准确测量,保证材料质量、提高生产效率。
原文参考:《Measurement and characterization of a nano-scale multiple-step height sample using a stylus profiler》