(+86) 18015666117
我们能帮您找到什么?

光刻胶液体吸收行为的椭圆偏振对比研究

在浸没式光刻技术中,为提升分辨率而在镜头与晶圆间引入液体介质(如去离子水或高折射率液体),却引发了光刻胶与液体间复杂的物理化学相互作用,成为制约工艺稳定性的关键问题。光刻胶在接触水后会发生吸水膨胀,导致厚度显著增加(约7%)并伴随折射率下降(约-0.4%),且吸水行为受胶体年龄与后处理工艺影响,在表面呈现非均匀分布。此外,液体还可能萃取光刻胶中的光酸产生剂等组分,不仅影响胶层性能,还可能污染光学系统。Flexfilm费曼仪器全光谱椭偏仪可以非接触薄膜的厚度折射率的高精度表征广泛应用于薄膜材料、半导体和表面科学等领域

本研究采用原位光谱椭偏仪、真空紫外椭偏仪及成像椭偏仪,系统研究光刻胶的液体吸收特性。实验发现140nm厚光刻胶浸水超70分钟后厚度增约7%,水分吸收率不足2%(体积分数),折射率降约0.4%,而成像椭偏仪可检测到1秒级水分吸收,且吸收均匀性与光刻胶状态、处理工艺相关;高折射率液体(JSRHIL-001)则未被光刻胶明显吸收为实时监测与工艺优化提供了有效的检测手段。


椭偏仪原理

椭偏仪通过分析反射光偏振态的变化,获取样品的微观结构和光学特性信息。通常,测量值以椭偏参数∆和Ψ表示,这些参数与p偏振光和s偏振光的菲涅耳反射系数rprs相关。p分量和s分量的反射系数定义如下:

image.png 

椭偏参数∆和Ψ与p分量和s分量的相位及振幅相关,其关系为:

image.png 

自德鲁德提出椭偏仪原理以来,随着光谱范围的扩大和多种工作原理的发展,已出现数百种不同类型的椭偏仪技术。得益于电子技术的进步,椭偏仪还新增了实时检测和成像等功能。本研究采用多种椭偏仪探究水分吸收对光刻胶的影响


原位光谱椭偏仪系统

系统的组成元件包括:(1)氘灯和卤素灯光源(2)固定偏振片(3)液槽(4)旋转补偿器(5)检偏器(6)多通道探测器(7)紫外窗口 

系统的组成元件包括:(1)氘灯和卤素灯光源(2)固定偏振片(3)液槽(4)旋转补偿器(5)检偏器(6)多通道探测器(7)紫外窗口

该系统由旋转补偿器型实时光谱椭偏仪和用于原位水分吸收测量的液槽组成。将光刻胶置于液槽中,槽内填充去离子水(DI 水)或高折射率液体(JSR_HIL-001)。由于液体的折射率与光刻胶接近,若在液体中进行测量,椭偏仪的灵敏度会降低。因此,在光刻胶与液体接触一段时间后,降低液体液面,使椭偏测量在空气中进行。


真空紫外多通道椭偏仪系统

为研究193nm附近的光学特性,需要使用能够覆盖深紫外光谱范围的椭偏仪。本研究研发了真空紫外光谱椭偏仪,通过氮气吹扫可测量低至150nm及以下的光谱。该系统配备多通道探测器,能够实现实时测量,其组成包括氘灯、旋转镁偏振片、固定检偏器和真空紫外灵敏度增强的多通道探测器,光路通过氮气吹扫或真空抽气实现空气排空。


成像椭偏仪系统

系统组成元件包括:(1)单色光源2)漫射器(3)滤光片(4)偏振片(5)旋转 1/4 波片(6)快门(7)固定检偏器(8)显微镜(9)二维CCD探测器 

系统组成元件包括:(1)单色光源2)漫射器(3)滤光片(4)偏振片(5)旋转 1/4 波片(6)快门(7)固定检偏器(8)显微镜(9)二维CCD探测器

近年来,多种类型的成像椭偏仪被研发出来,主要用于生物材料的无标记成像。大多数设计基于零椭偏仪类型,而本研究研发的是光度椭偏仪类型,以便将测量数据与传统光谱椭偏仪的结果进行对比。是一款具有表面微观分辨率的单波长椭偏仪,可利用传统分析方法生成椭偏参数(∆, Ψ)或厚度、光学特性等处理参数的二维图像。通过成像椭偏仪,能够获得水分吸收区域与无水区域之间的对比度。


结果与讨论

原位光谱椭偏仪测量结果

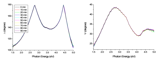
光刻胶在去离子水中不同时间的原位(∆, Ψ)椭偏光谱图 

光刻胶在去离子水中不同时间的原位(∆, Ψ)椭偏光谱图

可以观察到,随着光刻胶在去离子水中浸泡时间的延长,椭偏光谱的峰值出现明显红移。这一现象的核心原因是光刻胶吸收水分后发生溶胀,导致厚度增加。通过单层光学模型与有效介质近似分析,定量得出:光刻胶在水中暴露 60 分钟后,厚度从初始的 141nm 增至 150nm。

光刻胶在去离子水中的浸泡时间与厚度关系图 

光刻胶在去离子水中的浸泡时间与厚度关系图

进一步直观展示了光刻胶厚度随浸泡时间的变化规律:在浸泡 1 小时达到饱和状态前,光刻胶持续吸收水分,厚度呈稳步增长趋势

光刻胶在高折射率液体中不同时间的原位(∆, Ψ)椭偏光谱图 

光刻胶在高折射率液体中不同时间的原位(∆, Ψ)椭偏光谱图

当使用高折射率液体(JSR-HIL 001,193nm 处折射率 n=1.64)进行平行实验时,测量结果显示,所有不同浸泡时间的椭偏光谱几乎完全重叠,未观察到明显的峰值偏移或强度变化,表明光刻胶与该高折射率液体之间几乎无相互作用。

真空紫外椭偏仪测量结果

光刻胶在高折射率液体(虚线)和去离子水(虚线)中浸泡 40 分钟后的(∆, Ψ)椭偏光谱图 

光刻胶在高折射率液体(虚线)和去离子水(虚线)中浸泡 40 分钟后的(∆, Ψ)椭偏光谱图

为深入探究 193nm 波长处的光学特性,采用真空紫外多通道光谱椭偏仪进行快速数据采集。结果显示,光刻胶在高折射率液体中浸泡 40 分钟后的椭偏光谱(虚线),与新鲜光刻胶的光谱(实线)几乎完全重叠;而在去离子水中浸泡 40 分钟后的光谱(虚线)则出现明显差异。定量分析表明,高折射率液体在高达 6.75eV(对应波长 183.5nm)的能量范围内,未对光刻胶的光学特性产生任何影响;而经去离子水浸泡的光刻胶,通过有效介质近似估算得出水分含量约为 2%(体积分数),这直接导致其在 193nm 处的折射率从 1.700 降至 1.694,降幅约 0.4%(本分析基于水分在光刻胶网络中均匀分布的假设)。

成像椭偏仪测量结果

光刻胶与去离子水分别接触1秒(左图)和 10秒(右图)后的∆图像 

光刻胶与去离子水分别接触1秒(左图)和 10秒(右图)后的∆图像

成像椭偏仪能够提供更为直观的可视化结果。实验采用的操作流程为:利用微平移台将样品一侧短时间浸入液体,随后用氮气吹干,通过对比接触水与未接触水区域的椭偏图像,分析水分吸收行为。结果显示尽管浸泡时间极短,但两张图像中均能清晰分辨出接触区域与非接触区域的分界线。

需要说明的是,成像椭偏仪基于单波长测量原理,数据分析存在一定局限性,但结合光谱椭偏仪的定量结果,可实现半定量分析。以左侧图像为例,中间的灰色区域对应接触水 1 秒的区域,而白色区域因平移台微米级的多次旋转,实际接触水时间超过 1 秒。这一结果表明,成像椭偏仪能够捕捉到光刻胶在极短时间内的水分吸收行为,且图像中的对比度可直接作为水印存在的表征信号。

光刻胶与高折射率液体分别接触1秒(左图)和10秒(右图)后的∆图像 

光刻胶与高折射率液体分别接触1秒(左图)和10秒(右图)后的∆图像

对高折射率液体的成像测量结果与预期一致:不同接触时间的图像中,接触区域与非接触区域未出现任何对比度差异,进一步证实光刻胶对该液体无明显吸收

带有顶部抗反射涂层(TARC)的光刻胶与去离子水分别接触1秒(左图)和10秒(右图)后的∆图像 

带有顶部抗反射涂层(TARC)的光刻胶与去离子水分别接触1秒(左图)和10秒(右图)后的∆图像

将成像椭偏仪应用于顶部带有抗反射涂层(ARC)的光刻胶样品,结果显示接触水后涂层区域出现显著的图像变化。目前尚无法明确判定这种变化是源于水分吸附还是涂层蚀刻,但可以确定的是,水与抗反射涂层之间发生了强烈相互作用。原子力显微镜(AFM)表征结果显示,接触水后的抗反射涂层表面粗糙度显著增加,这可能是由于涂层材料部分溶解到水中;同时,结果显示观察到的强烈变形也可能与界面应力相关:涂层与光刻胶在水分吸收过程中的溶胀率差异,可能导致界面产生应力集中,进而引发变形。这一复杂现象的内在机制仍需后续进一步研究。


本研究通过多种椭偏仪技术的协同应用,全面探究了水和高折射率液体(JSR HIL-001)对 193nm 光刻胶的作用效应。核心结论如下:

原位光谱椭偏仪证实,光刻胶与水接触时会发生持续约 1 小时的溶胀现象,最终厚度增长约 7%,而与高折射率液体接触时无明显物理变化;

真空紫外椭偏仪精准表征了 193nm 波长处的光学特性,发现水分吸收导致光刻胶折射率小幅下降 0.4%,高折射率液体则对其光学特性无影响;

成像椭偏仪展现出极高的检测灵敏度,能够捕捉到光刻胶与水仅 1 秒接触后的水分吸收信号,是检测浸没式光刻水印缺陷的有效工具;

带有顶部抗反射涂层的光刻胶与水接触后出现显著界面变化,其机制需进一步研究。


Flexfilm费曼仪器全光谱椭偏仪

技术支持:180-1566-6117 

技术支持:180-1566-6117

费曼仪器全光谱椭偏仪拥有高灵敏度探测单元光谱椭偏仪分析软件,专门用于测量和分析光伏领域中单层或多层纳米薄膜的层构参数(如厚度)和物理参数(如折射率n、消光系数k)

▶先进的旋转补偿器测量技术:无测量死角问题。

▶粗糙绒面纳米薄膜的高灵敏测量:先进的光能量增强技术,高信噪比的探测技术。

▶秒级的全光谱测量速度:全光谱测量典型5-10秒。
原子层量级的检测灵敏度:测量精度可达0.05nm。

Flexfilm费曼仪器全光谱椭偏仪能非破坏、非接触地原位精确测量超薄图案化薄膜的厚度、折射率,结合费曼仪器全流程薄膜测量技术助力半导体薄膜材料领域的高质量发展。

原文参考:《Ellipsometric studies of the absorption of liquid by photo resist》

相关产品

×

名字 *

公司

职称

电子邮件 *

电话号码 *

城市 *

国家

请选择产品

我有兴趣接受有关以下内容的信息 *

我的留言

提交