(+86) 18015666117
我们能帮您找到什么?

台阶仪在QLED的应用:分子前体溶液法制备的金属硫化物薄膜形貌与厚度表征

量子点发光二极管(QLED)作为新一代显示与照明技术,其性能高度依赖于电子传输层(ETL)空穴注入层(HIL)的材料特性。传统有机材料及某些过渡金属氧化物(如ZnO、MoO₃)由于电阻率高、空穴浓度低等限制,性能提升有限。金属硫化物具有组成多样、带隙可调、导电性良好等优势,在光电器件中展现出巨大潜力。Flexfilm费曼仪器探针式台阶仪可以实现表面微观特征的精准表征关键参数的定量测量,精确测定样品的表面台阶高度与膜厚,为材料质量把控和生产效率提升提供数据支撑。

本研究采用分子前体溶液法,成功制备了ZnS、CdS、CuₓS和Ag₂S四种金属硫化物薄膜,系统研究了其结构与光电特性,为其在QLED中的应用提供材料基础。


金属硫化物在QLED中的研究背景

QLED通常采用p-i-n三明治结构,其中ETL和HIL对电荷注入平衡与器件效率起关键作用。近年来,研究人员尝试使用过渡金属氧化物作为功能层,但仍受限于其电学性能。相比之下,金属硫化物CdS、ZnS等已在光催化、太阳能电池中表现出优异的能级匹配与界面特性,在QLED中亦具有应用前景。本研究旨在通过溶液法可控制备多种金属硫化物薄膜,并评价其作为QLED功能层的可行性。


实验方法
以前体溶液法合成四种金属硫醇盐前驱体:以乙酸锌、乙酸镉、乙酸铜与叔十二硫醇(DDT)在甲醇中反应,分别制得Zn-DDT、Cd-DDT和Cu-DDT;以氧化银与DDT在甲苯中反应制得Ag-DDT。前驱体经离心、洗涤、干燥后溶于甲苯,形成澄清溶液。通过旋涂法ITO基底上成膜,再根据热重分析确定的温度进行退火(ZnS: 260℃、CdS: 269℃、CuₓS: 320℃、Ag₂S: 300℃),获得相应硫化物薄膜。


结果与讨论

前驱体表征

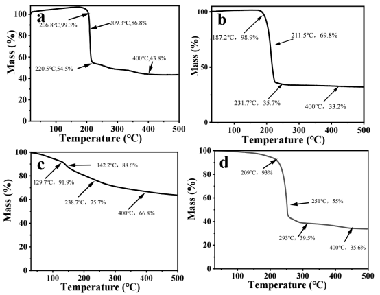
(a-d) 四种金属硫化物(Zn-DDT、Cd-DDT、Cu-DDT和Ag-DDT)的热重曲线图 

(a-d) 四种金属硫化物(Zn-DDT、Cd-DDT、Cu-DDT和Ag-DDT)的热重曲线图

(a-d) 四种金属硫化物分子前体(Zn-DDT、Cd-DDT、Cu-DDT和Ag-DDT)的FT-IR吸收光谱图 

(a-d) 四种金属硫化物分子前体(Zn-DDT、Cd-DDT、Cu-DDT和Ag-DDT)的FT-IR吸收光谱图

热重分析(TGA)表明各前驱体在特定温度区间发生分解,残余质量与目标硫化物理论值一致。傅里叶变换红外光谱(FT-IR)显示在617 cm⁻¹处出现C–S键特征峰,且未检出S–H振动峰,证实DDT完全去质子化并与金属配位

薄膜形貌与均匀性

(a) 四种金属硫化物(Zn-DDT、Cd-DDT、Cu-DDT 和 Ag-DDT)前体溶液的照片。(b)四种金属硫化物(Zn-DDT、Cd-DDT、Cu-DDT 和 Ag-DDT)薄膜实物照片(膜厚~20 nm) 

(a) 四种金属硫化物(Zn-DDT、Cd-DDT、Cu-DDT 和 Ag-DDT)前体溶液的照片。(b)四种金属硫化物(Zn-DDT、Cd-DDT、Cu-DDT 和 Ag-DDT)薄膜实物照片(膜厚~20 nm)

ZnS, CdS, CuxS 和 Ag2S 薄膜的(a, c, e, g)表面形态和(b, d, g, h)台阶高度图 

 ZnS, CdS, CuxS 和 Ag2S 薄膜的(a, c, e, g)表面形态和(b, d, g, h)台阶高度图

所得薄膜透明平整,台阶仪测试显示表面粗糙度低、无针孔裂纹,有利于QLED中减少漏电流与器件短路。

晶体结构与化学态分析

 (a-d) ZnS、CdS、CuxS 和 Ag2S 分别在 260℃、269℃、320℃和 300℃退火后的薄膜 XRD图 

(a-d) ZnS、CdS、CuxS 和 Ag2S 分别在 260℃、269℃、320℃和 300℃退火后的薄膜 XRD图

ZnS、CdS、CuxS和Ag2S薄膜的XPS图谱(a) Zn 2p, (b) S 2p, (c) Cd 3d, (d) S 2p, (e) Cu 2p, (f) S 2p, (g) Ag 1s, (h) S 2p 

ZnS、CdS、CuxS和Ag2S薄膜的XPS图谱(a) Zn 2p, (b) S 2p, (c) Cd 3d, (d) S 2p, (e) Cu 2p, (f) S 2p, (g) Ag 1s, (h) S 2p

XRD谱图显示各薄膜均为纯相:ZnS为闪锌矿结构,CdS为纤锌矿结构,CuₓS与Cu₇.₂S₄标准卡匹配,Ag₂S为单斜相。XPS进一步证实元素价态:Zn²⁺/S²⁻、Cd²⁺/S²⁻、Ag⁺/S²⁻,而CuₓS中同时存在Cu⁺与Cu²⁺,其比例约为1.11,表明其具有混合价态特性,可能有利于空穴注入


本研究通过分子前体溶液法成功制备了ZnS、CdS、CuₓS和Ag₂S四种高质量金属硫化物薄膜。薄膜表现出良好的透明度、平整度、结晶纯度及明确的化学组成。其中CuₓS的混合价态特性显示出作为空穴注入层的潜力。该研究为金属硫化物在QLED中的应用奠定了材料基础,后续将开展器件集成与性能优化研究。


Flexfilm费曼仪器探针式台阶仪

技术支持:180-1566-6117 

技术支持:180-1566-6117

Flexfilm费曼仪器探针式台阶仪在半导体、光伏、LED、MEMS器件、材料等领域,表面台阶高度、膜厚的准确测量具有十分重要的价值,尤其是台阶高度是一个重要的参数,对各种薄膜台阶参数的精确、快速测定和控制,是保证材料质量、提高生产效率的重要手段。

配备500W像素高分辨率彩色摄像机

亚埃级分辨率,台阶高度重复性1nm

360°旋转θ平台结合Z轴升降平台

超微力恒力传感器保证无接触损伤精准测量

费曼仪器作为国内领先的薄膜厚度测量技术解决方案提供商Flexfilm费曼仪器探针式台阶仪可以对薄膜表面台阶高度、膜厚进行准确测量,保证材料质量、提高生产效率。

原文参考:《分子前体溶液法制备金属硫化物薄膜及其在量子点发光二极管中的应用》

相关产品

×

名字 *

公司

职称

电子邮件 *

电话号码 *

城市 *

国家

请选择产品

我有兴趣接受有关以下内容的信息 *

我的留言

提交