(+86) 18015666117
我们能帮您找到什么?

基于椭偏光谱法研究不同基底对TiO₂/SiO₂薄膜光学常数的影响

椭偏仪作为表征光学薄膜性能的核心工具,在光学薄膜领域具有不可替代的作用。本研究聚焦基底类型(K9玻璃、石英玻璃、单晶硅)对溶胶-凝胶法制备的TiO₂和SiO₂薄膜光学性能的调控机制。

Flexfilm费曼仪器作为国内领先的薄膜材料检测解决方案提供商致力于为全球工业智造提供精准测量解决方案。其中Flexfilm全光谱椭偏仪可以精确量化薄膜的折射率消光系数厚度参数,揭示基底结构差异对薄膜微观形貌与光学常数的内在影响规律,为高性能减反膜及光学器件的基底选型提供理论支撑。


椭偏测量原理

Δ 是椭偏法的位相参量, 反映了反射前后 p 波和 s 波位相差的变化;ψ 是椭偏法的振幅参量,反映了 p 波与 s 波的振幅比在反射前后的变化。 椭圆偏振仪的原理是利用 p 分量与 s 分量间具有一定相位差的等幅椭圆偏振光入射到样品表面,使反射光成为线偏振光,通过对入射 p 与 s 分量间相位差及反射线偏振方位角的测量获得涵盖样品光学参量的相关信息。

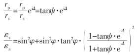
式中:rp 和 rs 分别为对于 p 分量和 s 分量材料的反射系数;εs 和 εa 别为样品和环境的介电常数,环境通常为空气,εa=1;φ 为入射角。 

式中:rp  rs 分别为对于 p 分量和 s 分量材料的反射系数;εs  εa 别为样品和环境的介电常数,环境通常为空气,εa=1;φ 为入射角。

通过对光强信号随偏振器方位角的变化作傅里叶变换,求得椭偏参数 ψ 和 Δ;再利用两组模型计算样品的表观介电常数,进而可得到其他光学参数。 折射率消光系数分别表示为:

image.png 

单晶硅基底上 TiO₂(a, b)和 SiO₂(c, d)薄膜的椭偏参量测量和拟合结果 

单晶硅基底上 TiO₂(a, b)和 SiO₂(c, d)薄膜的椭偏参量测量和拟合结果

同时通过前期分别对TiO₂/单晶硅薄膜、SiO₂/单晶硅薄膜椭偏参数的拟合分析发现:单晶硅基底上的两种薄膜误差最小 因此选用单晶硅基底上的 TiO₂ SiO₂薄膜进行拟合分析。


不同基底对薄膜折射率的影响

不同基底上 TiO₂、SiO₂薄膜的折射率 

不同基底上 TiO₂SiO₂薄膜的折射率

由椭偏仪测量结果可知,单晶硅基底上的 TiO₂和 SiO₂薄膜折射率均为最大,TiO₂薄膜在三种基底上折射率顺序为单晶硅>K9 玻璃>石英玻璃,SiO₂薄膜则为单晶硅>石英玻璃>K9 玻璃。这是因为单晶硅基底晶格匹配度高、粗糙度小,薄膜更致密,而基底与薄膜的线膨胀系数、化学组成等也影响折射率


不同基底对薄膜消光系数的影响

不同基底上 TiO₂、SiO₂薄膜的消光系数 

不同基底上 TiO₂、SiO₂薄膜的消光系数

椭偏数据揭示消光系数(k)随波长增大而递减,且基底依赖性显著:

TiO₂薄膜:单晶硅基底k值最低(@400 nm: 0.015±0.003),K9玻璃次之(0.028±0.005)

SiO₂薄膜:所有基底k<0.005(可忽略吸收),但单晶硅基底表面裂纹少

热失配效应:石英玻璃与TiO₂线膨胀系数差(Δα=1.39×10⁻⁶/℃)引发界面张力,导致膜层缺陷增多→k值升高。


不同基底对薄膜透光率的影响

不同基底上 TiO₂、SiO₂ 薄膜的透光率 

不同基底上 TiO₂SiO₂ 薄膜的透光率

透光率方面,K9 玻璃基底上 TiO₂薄膜透光率高于石英玻璃基底,SiO₂薄膜在两种非晶基底上透光率峰值相差不大,这与基底对薄膜晶粒生长、表面状态的影响有关。


椭偏仪定量揭示了基底-薄膜匹配机制:单晶硅基底因低晶格失配度(界面粗糙度σ<1 nm)使TiO₂/SiO₂薄膜折射率提升n=2.27/1.43),而热膨胀系数差异导致非晶基底上TiO₂光学常数分散性增大(Δn>0.6)。该研究为光学薄膜体系中基底选择提供了椭偏数据支撑,尤其在高精度减反膜设计场景中,单晶硅基底可优化界面光学性能。


Flexfilm全光谱椭偏仪

技术支持:180-1566-6117 

技术支持:180-1566-6117

全光谱椭偏仪拥有高灵敏度探测单元光谱椭偏仪分析软件,专门用于测量和分析光伏领域中单层或多层纳米薄膜的层构参数(如厚度)和物理参数(如折射率n、消光系数k)

先进的旋转补偿器测量技术:无测量死角问题。

粗糙绒面纳米薄膜的高灵敏测量:先进的光能量增强技术,高信噪比的探测技术。

秒级的全光谱测量速度:全光谱测量典型5-10秒。

原子层量级的检测灵敏度:测量精度可达0.05nm。

Flexfilm全光谱椭偏仪可以高精度椭偏测量不同基底上 TiO₂与 SiO₂薄膜的折射率n消光系数k及其误差。Flexfilm费曼仪器致力于帮助客户实现工艺优化、性能提升及合规认证,以创新技术赋能智能制造,助力全球薄膜材料领域的高质量发展。

原文参考:《不同基底对 TiO2 和 SiO2 薄膜的光学性能的影响 

相关产品

×

名字 *

公司

职称

电子邮件 *

电话号码 *

城市 *

国家

请选择产品

我有兴趣接受有关以下内容的信息 *

我的留言

提交