(+86) 18015666117
我们能帮您找到什么?

基于椭偏仪的大尺寸MPALD氧化铝薄膜厚度均匀性与n、k值表征

随着半导体制造工艺不断向更小线宽和更高精度演进,原子层沉积技术因其原子级厚度可控性及优异的均匀性、保形性,在集成电路制造领域获得广泛应用。然而,传统热驱动原子层沉积工艺受限于配体交换反应的温度要求,难以满足热敏感基底的低温沉积需求。为此,等离子体增强原子层沉积技术通过引入高活性自由基替代热反应,有效拓宽了材料范围并降低了沉积温度。在各类等离子体源中,微波等离子体凭借其高密度、低温兼容及远程构型等独特优势,能够减少高能离子对基底的轰击损伤,尤其适用于高质量薄膜的低温沉积。

本研究成功研制出一套大尺寸微波等离子体增强原子层沉积系统,并结合Flexfilm费曼仪器全光谱椭偏仪等表征手段,系统验证了其在氧化铝薄膜沉积中的工艺可行性与性能优势。


设备的系统构成与工作原理

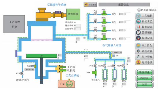
微波等离子体增强原子层沉积设备系统模块 

微波等离子体增强原子层沉积设备系统模块

本研究所开发的MPALD设备采用模块化系统设计,主要由真空系统微波传导系统气源输入系统控制系统四个核心模块组成。

真空系统:由干式机械泵、工艺腔体、工艺阀组、真空计构成,维持高真空环境(0.1~10⁻⁵ Pa),为薄膜制备提供清洁、稳定的反应环境。配备双排并联直角阀实现动态压强控制支持ALD工艺中各反应步骤的动态压强精确控制。

微波传导系统:采用自研大尺寸双柱导波腔结合高频微波电源,通过12英寸石英盘隔离,实现微波功率的有效传输与均匀分布;采用远程等离子体设计,避免高能粒子轰击基底,实现低损伤、高质量的薄膜沉积。

气源输入系统:由多通道质量流量控制器、前驱体源瓶、电磁控制阀等组成,支持多种反应气体与前驱体的独立控制,并配有独立温度控制,确保稳定输运,满足典型PEALD循环工艺要求。

控制系统:基于PLC的自动化控制系统,实现工艺参数调控、实时监测、工艺编程、数据记录及多重安全互锁功能,支持一键式自动工艺流程。


椭偏仪测试与薄膜性能表征

MPALD与PEALD制备氧化铝薄膜参数与单次循环对比 

MPALD与PEALD制备氧化铝薄膜参数与单次循环对比

工艺参数:以三甲基铝为铝前驱体,氧气为氧源,在8英寸硅晶圆上沉积500个循环的氧化铝Al₂O₃)薄膜,衬底温度250 °C。

工艺效率对比:与传统PEALD相比,MPALD的氧气流量更低(10 vs. 380 sccm),等离子体功率更低(800 vs. 3000 W),但氧自由基强度更高,且单次循环时间(14 s)远短于传统工艺(40 s)。

MPALD制备Al₂O₃薄膜特性:(a)Mapping、(b)化学组份、(c)折射率&消光系数、(d)薄膜密度 

MPALD制备Al₂O₃薄膜特性:(a)Mapping、(b)化学组份、(c)折射率&消光系数、(d)薄膜密度

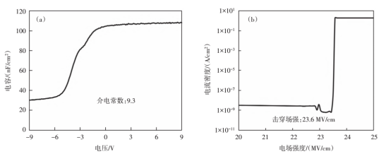
MPALD制备Al₂O₃薄膜特性:(a)电容-电压曲线、(b)击穿场强 

MPALD制备Al₂O₃薄膜特性:(a)电容-电压曲线、(b)击穿场强

薄膜特性表征:

均匀性与厚度:椭偏仪Mapping测试显示平均厚度85.69 nm非均匀性仅为0.88%

成分与纯度XPS分析显示碳、氮杂质含量极低(0.85 at.%和0.25 at.%),氧/铝元素比为1.45,接近化学计量比。

光学性能Flexfilm全光谱椭偏仪测得632.8 nm处折射率(n)为1.65消光系数(k)接近0

致密性XRR测得薄膜密度为3.3 g/cm³,表明薄膜低缺陷、高致密。

电学性能C-V测试计算得介电常数为9.3;击穿场强高达23.6 MV/cm,表现出优异的绝缘特性。

MPALD与其他ALD制备氧化铝薄膜特性对比表 

MPALD与其他ALD制备氧化铝薄膜特性对比表

性能对比:将MPALD沉积的Al₂O₃薄膜与SALD、TALD及其他PEALD工艺制备的薄膜进行对比,MPALD在非均匀性、折射率、介电常数和击穿场强等关键指标上均展现出综合优势。


本文成功研制了一套大尺寸微波等离子体增强原子层沉积设备,通过系统性设计与工艺优化,实现了高密度等离子体的稳定激发,并在8英寸晶圆上沉积出具有优异均匀性、光学与电学性能的高质量氧化铝薄膜Flexfilm全光谱椭偏仪作为薄膜厚度和光学常数测量的核心仪器,在本研究的工艺验证过程中发挥了关键作用。Mapping测试结果直观展示了MPALD设备的大面积沉积均匀性能力,光学常数测量则为薄膜的质量评估提供了重要依据。未来将基于椭偏仪等表征手段进一步优化MPALD工艺参数,并拓展至氮化物、金属等多种功能薄膜的制备,推动其在高端芯片工艺与先进器件制造中的实际应用。


Flexfilm费曼仪器全光谱椭偏仪

技术支持:180-1566-6117 

技术支持:180-1566-6117

Flexfilm费曼仪器全光谱椭偏仪拥有高灵敏度探测单元光谱椭偏仪分析软件,专门用于测量和分析光伏领域中单层或多层纳米薄膜的层构参数(如厚度)和物理参数(如折射率n、消光系数k)

▶先进的旋转补偿器测量技术:无测量死角问题。

▶粗糙绒面纳米薄膜的高灵敏测量:先进的光能量增强技术,高信噪比的探测技术。

▶秒级的全光谱测量速度:全光谱测量典型5-10秒。

原子层量级的检测灵敏度:测量精度可达0.05nm。

Flexfilm费曼仪器全光谱椭偏仪能非破坏、非接触地原位精确测量超薄图案化薄膜的厚度、折射率,结合费曼仪器全流程薄膜测量技术助力半导体薄膜材料领域的高质量发展。

原文参考:《大尺寸微波等离子体增强原子层沉积设备研制与工艺验证》

相关产品

×

名字 *

公司

职称

电子邮件 *

电话号码 *

城市 *

国家

请选择产品

我有兴趣接受有关以下内容的信息 *

我的留言

提交