(+86) 18015666117
我们能帮您找到什么?

光谱椭偏法对大面积室温直流溅射AZO薄膜均匀性的表征研究

铝掺杂氧化锌(Al:ZnO,AZO)兼具高透明度与高导电性,且组成元素储量丰富、无毒,适用于多种大面积光电器件。光谱椭偏法通过引入振荡子模型,可以同时提取薄膜的多个光学和电学参数,是评估大面积沉积质量的有效手段。

本研究用该方法对沉积在15 cm×15 cm玻璃衬底上的AZO薄膜进行多点测量,获取方块电阻和可见光透过率的空间分布。对照测量(分光光度法和四探针法)显示,可见光透过率与椭偏结果基本一致,但电阻值略高,这一差异源于晶界散射:四探针反映的是跨越晶界的整体输运,椭偏提取的是晶粒内部的本征参数。尽管如此,两类测量给出的空间分布图高度吻合,证明了椭偏法以单一工具同步表征大面积薄膜光学与电学均匀性的可行性


大面积AZO薄膜均匀性及其椭偏表征

ZnO 是一种透明导电氧化物(TCO),在可见光范围具有高透光率,本征结构电阻率较低。通过引入过量 Zn 或以 III 族元素(Al、Ga、In)替代 Zn 位,可以便捷地实现 n 型导电性的提升。其中铝掺杂尤为受关注:AZO 导电性强,构成元素无毒且储量丰富,是替代铟锡氧化物(ITO)的理想 TCO 候选材料,可用于可调色滤光器、智能窗和光伏太阳能电池等应用场景。上述应用通常要求可见光透过率 TV = 80%~90%、方块电阻 Rs = 10~20 Ω/sq,以 Haacke 优值系数 Φ = TV¹⁰/Rs 作为不同 TCO 材料的性能比较标准。

AZO 薄膜的制备工艺多样,涵盖电沉积、溶胶-凝胶、喷雾热解、蒸发和溅射等。DC 磁控溅射的突出优势在于:可在室温下直接制备透明导电 AZO 层,适用于不耐热的柔性衬底;而大多数其他工艺需要高衬底温度或 300°C 以上的后退火才能获得高质量材料。此前已有工作系统考察了工艺参数对室温 DC 溅射 AZO 薄膜特性的影响规律。

大面积均匀性是另一项关键技术挑战。常规表征方案通常需要台阶仪(膜厚)分光光度计(透过率)四探针法(方块电阻)三种手段配合。光谱椭偏法既可用于膜厚的面扫测量,也可通过振荡子模型同时提取多个光学和电学参数,具备"一站式"表征的潜力。

本工作在15 cm×15 cm未加热玻璃衬底上用DC溅射制备了AZO薄膜,采用Drude振荡子模型与Bruggeman有效介质近似的组合,结合衬底模拟层和顶部粗糙层,从变角度光谱椭偏数据中精确提取光学常数(n、k)电学参数(自由载流子浓度、迁移率),并将所得空间分布图与分光光度法和四探针法的独立测量结果进行系统对照。


实验材料与方法

AZO薄膜沉积于15 cm × 15 cm × 2 mm钠钙玻璃(SLG)衬底上,采用自制真空系统室温DC磁控溅射。衬底竖直固定于不锈钢夹具中,在靶材前方扫动。

靶材成分为 98 wt% ZnO + 2 wt% Al₂O₃(矩形,高 45 cm、宽 13 cm、厚 6 mm)。

腔室本底真空抽至 1 × 10⁻⁴ Pa 以下,通入高纯Ar和O₂将工作气压设定为 4 × 10⁻³ Pa,以 1.7 W/cm² 的 DC 功率放电 7 分钟,所得薄膜厚度为 0.80 ± 0.04 μm(Flexfilm台阶仪测量)。制备目标为 TV ≈ 85%、Rs ≈ 20 Ω/sq,工艺参数参照前期研究确定。

光学透过率由Flexfilm分光光度计测量(非偏振光、垂直入射)。方块电阻由Flexfilm四探针测量单元获取。以上结果均与Flexfilm光谱椭偏仪的提取数据进行对照。所有表征均在 15 cm × 15 cm 样品上以 3 cm 为间距的等距点处逐点进行,以保证空间代表性。


实验结果与讨论

光学模型的确定

三个入射角(55°、60°、65°)下椭偏参数(Ψ、Δ)的实测值(符号)与拟合值(线)对比:虚线为两层模型,实线为三层模型 

三个入射角(55°、60°、65°)下椭偏参数(Ψ、Δ)的实测值(符号)与拟合值(线)对比:虚线为两层模型,实线为三层模型

在建立 SLG/AZO 系统模型之前,先对裸 SLG 衬底单独测量和模拟,获取 nSLG、kSLG 作为基底参数。

对于 AZO 层,两层模型(Drude 致密层 + Bruggeman 粗糙层,粗糙层视为 AZO 与空洞各 50 vol% 的混合物)拟合给出 r² = 91%。进一步将 AZO 层拆分为靠近衬底的第一致密层(AZO1)第二致密层(AZO2),加上顶部粗糙层(AZO2 + 空洞)构成三层模型,拟合质量提升至 r² = 96%。四层模型虽可达到 r² = 98%,但部分测量点出现了电导率异常偏高(σ > 10⁶ S/cm)的非物理结果,故三层模型为最优选择。模拟光谱从 λ = 400 nm 起算,因所用模型未包含半导体禁带以下(约350 nm)的基本光学吸收。


光学常数

三层模型给出的各层光学参数(n、k)随波长的变化曲线 

三层模型给出的各层光学参数(n、k)随波长的变化曲线

光学参数分析显示,在可见光区(400–800 nm),AZO的折射率 n > 1.7,消光系数 k < 0.02,符合典型透明导电氧化物特性。近红外区折射率下降、消光系数上升,表明自由载流子等离子体反射开始显现。AZO1的折射率 n与消光系数k 均高于AZO2,说明靠近衬底区域的薄膜更致密、导电性更优,随着沉积时间延长,薄膜质量略有下降。


电学参数的提取

Drude振荡子模型通过等离子体能量EP展宽EΓ(与散射频率对应)两个参数描述自由载流子导电行为,分别表达各导电层复介电函数的实部 ε₁(E) 虚部 ε₂(E)

image.png 

进而得到各层的电导率 σⱼ自由载流子浓度 Nⱼ 迁移率 μⱼ

image.png 

其中ε₀ = 55.263 × 10⁶ e/Vm,ℏ = 6.582 × 10⁻¹⁶ eV·s,AZO 载流子有效质量取文献值 m* = 0.25mₑ。各层方块电阻由 Rⱼ,S = 1/(σⱼdⱼ) 计算。

样品多个等距点处两个导电层的σ、μ与N的关系散点图 

样品多个等距点处两个导电层的σ、μ与N的关系散点图

结果表明载流子迁移率与浓度的N⁻²/³成正比,电导率与N¹/³成正比,符合电离杂质散射机制。这表明椭偏法提供的是晶粒内部的本征电学特性,而电学测量则受晶界势垒影响,仅能反映可克服势垒的载流子贡献。


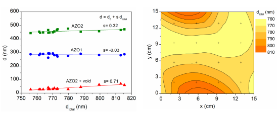
膜厚的空间分布

三层模型在15 cm×15 cm样品16个等距点处给出的各层厚度数据和总厚度的等高线分布图 

三层模型在15 cm×15 cm样品16个等距点处给出的各层厚度数据和总厚度的等高线分布图

厚度分布分析显示,总厚度变化约为6%,在样品上下边缘(靠近衬底架)处厚度较大,主要由于AZO2及粗糙顶层增厚所致,表明边缘区域表面粗糙度增加。该现象可能与溅射过程中金属框架对等离子体的反射有关,导致到达边缘的粒子能量降低、表面扩散受限。


方块电阻的空间分布与比较

取各层电导率和厚度,按并联等效电路计算总的光学方块电阻:

image.png 

光学模拟方块电阻(Rop)和四探针电学方块电阻(Rel)在15 cm×15 cm样品上的等高线分布对比图 

光学模拟方块电阻(Rop)和四探针电学方块电阻(Rel)在15 cm×15 cm样品上的等高线分布对比图

在方阻分布方面,光学模拟方阻(Rop)与四探针法测量方阻(Rel)的空间分布趋势一致,均显示水平边缘区域方阻较高,与该区域AZO2及粗糙顶层厚度增加、导电性较低的相吻合。

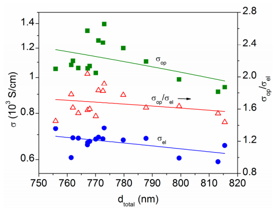
光学电导率(σop,方块)和电学电导率(σel,圆圈)随总膜厚的变化和二者之比(三角,右纵轴) 

光学电导率(σop,方块)和电学电导率(σel,圆圈)随总膜厚的变化和二者之比(三角,右纵轴)

电学测量所得电导率约为650 S/cm,而光学模拟电导率高于900 S/cm,两者比值σop/σel1.6,与文献中晶格电阻与缺陷电阻之比(RDL≈1.6)一致,进一步证实了光学与电学方法在反映载流子输运机制上的本质差异。


可见光透过率的空间分布与比较

点8(x=13, y=6)和点16(x=13, y=13)处,Ts与Tm的光谱对比,同时附有裸SLG衬底的测量透过率供参考 

8(x=13, y=6)和点16(x=13, y=13)处,Ts与Tm的光谱对比,同时附有裸SLG衬底的测量透过率供参考

TVs和TVm在15 cm×15 cm样品上的等高线分布对比图 

TVs和TVm在15 cm×15 cm样品上的等高线分布对比图

在透过率方面,三层模型模拟全波段透过率光谱(Ts)分光光度计实测谱(Tm)在近红外区高度一致,在可见光区虽数值略有差异,但随点位变化的趋势完全一致。可见光透过率分布显示,上下边缘区域透过率略高,与粗糙度增加、散射减弱有关,同时也对应方阻较高的区域,体现出薄膜光电性能的协同变化。


优值系数的综合评价

分别由模型模拟数据(Φs = TVs¹⁰/Rop)和独立测量数据(Φm = TVm¹⁰/Rel)计算 Haacke 优值系数。

由三层模型模拟(Φs)和独立光学、电学测量(Φm)分别得到的优值系数在样品上的等高线分布对比图 

由三层模型模拟(Φs)和独立光学、电学测量(Φm)分别得到的优值系数在样品上的等高线分布对比图

基于Haacke定义的品质因数(Φs = TVs¹⁰/Rs)分析,模拟与实测品质因数的空间分布一致,模拟值整体高于实测值,比值约为1.6,与电导率比值一致。在整个样品区域内,品质因数均保持在0.010 Ω⁻¹以上,表明所制备的AZO薄膜在大面积范围内具有优良的综合光电性能


本文采用光谱椭偏法直流溅射沉积在钠钙玻璃上的AZO薄膜进行了均匀性研究。三层光学模型(AZO1/AZO2/粗糙顶层)能够较好地描述薄膜结构,提取的光学与电学参数表明,载流子输运以电离杂质散射为主,光学法反映晶粒内部特性,其电导率高于电学法,两者比值约为1.6。通过对15 cm×15 cm样品区域内多个点位的系统表征,椭偏法所得方阻与可见光透过率的空间分布与分光光度法和四探针法结果高度一致。样品边缘区域因粗糙度增加,表现出稍高的方阻与透过率,整体厚度变化仅为6%,品质因数均高于0.010 Ω⁻¹。研究表明,光谱椭偏法可作为一种高效、可靠的单工具手段,用于大面积AZO薄膜光电特性的均匀性评估。


Flexfilm费曼仪器全光谱椭偏仪

技术支持:180-1566-6117 

技术支持:180-1566-6117

Flexfilm费曼仪器全光谱椭偏仪拥有高灵敏度探测单元光谱椭偏仪分析软件,专门用于测量和分析光伏领域中单层或多层纳米薄膜的层构参数(如厚度)和物理参数(如折射率n、消光系数k)

▶先进的旋转补偿器测量技术:无测量死角问题。

▶粗糙绒面纳米薄膜的高灵敏测量:先进的光能量增强技术,高信噪比的探测技术。

▶秒级的全光谱测量速度:全光谱测量典型5-10秒。

原子层量级的检测灵敏度:测量精度可达0.05nm。

Flexfilm费曼仪器全光谱椭偏仪能非破坏、非接触地原位精确测量超薄图案化薄膜的厚度、折射率,结合费曼仪器全流程薄膜测量技术助力半导体薄膜材料领域的高质量发展。

原文参考:《Ellipsometric Study on the Uniformity of Al:ZnO Thin Films Deposited Using DC Sputtering at Room Temperature over Large Areas》

相关产品

×

名字 *

公司

职称

电子邮件 *

电话号码 *

城市 *

国家

请选择产品

我有兴趣接受有关以下内容的信息 *

我的留言

提交