(+86) 18015666117
我们能帮您找到什么?

磁控溅射SiO₂薄膜工艺优化:台阶仪在膜厚与粗糙度表征中的应用

氧化硅(SiO₂)薄膜作为典型的功能薄膜材料,具有优良的光学、电学及机械性能,在液晶显示、太阳能电池、建筑玻璃及汽车玻璃等领域得到广泛应用。其低折射率和高透光特性,使其在光学减反射膜和表面保护层中具有重要作用。在太阳能电池中,氧化硅薄膜不仅可作为隔离层抑制载流子复合,还可作为抗反射层提升光吸收效率,从而改善器件整体性能与稳定性。

随着高性能薄膜需求的不断提升,系统研究制备工艺参数对薄膜结构及光学性能的影响具有重要意义。本文采用射频磁控溅射方法,在玻璃基底上沉积氧化硅薄膜,并围绕气体压力、基底温度和溅射功率三个关键工艺参数,结合Flexfilm费曼仪器探针式台阶仪对膜厚与表面粗糙度的测量,以及分光光度计对透光率的表征,系统分析其影响规律。


实验方法

实验采用高真空磁控溅射设备,以高纯二氧化硅为靶材、氩气为工作气体,在玻璃基片上沉积薄膜。基底在沉积前依次经过酒精清洗、丙酮清洗及超声清洗,以去除油污、颗粒及有机污染物,并在沉积前进行5 min预溅射以进一步净化表面。

沉积过程中,基片转速为 8 r/min,溅射时间为 10 min,氩气流量为 30 sccm。通过分别调节气体压力、基底温度及溅射功率,研究不同工艺条件对薄膜性能的影响。薄膜膜厚与粗糙度采用Flexfilm费曼仪器探针式台阶仪进行表征,透光率则通过分光光度计在可见光范围内测量。


气体压力的影响

实验条件:溅射功率250 W,基底不加热,气体压力分别为0.2、0.4、0.6、0.8、1.0 Pa。

厚度与粗糙度

薄膜厚度与气体压力的关系曲线 

薄膜厚度与气体压力的关系曲线

气体压力从0.2 Pa升至0.4 Pa时,薄膜厚度降低。原因是压力升高使溅射原子平均自由程缩短,碰撞次数增加,粒子能量降低或方向改变,到达衬底的粒子数量减少。压力升至0.6 Pa时,厚度有所增加,因为此时气体分子密度较高,更多氩离子与靶材碰撞,溅射效率和等离子体稳定性提高。压力升至0.8 Pa时,厚度再次降低,归因于碰撞进一步增加及放电稳定性下降。压力升至1.0 Pa时,厚度又有所增加,此时二次溅射效应变得显著。

薄膜粗糙度与气体压力关系曲线 

薄膜粗糙度与气体压力关系曲线

粗糙度方面:在0.2~0.8 Pa范围内,随压力增加粗糙度不断下降,原因是碰撞频率增加使粒子能量降低、径向扩散减少,沉积更均匀。压力升至1.0 Pa时,粗糙度增大,因为过度碰撞导致表面出现较大晶粒,且气体分子对已沉积薄膜的轰击增强,造成表面凹凸不平

透光率

薄膜表面结构示意图 

薄膜表面结构示意图

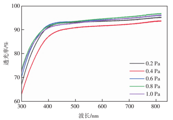
不同压力下氧化硅薄膜透光率变化曲线 

不同压力下氧化硅薄膜透光率变化曲线

不同压力下氧化硅薄膜平均透光率 

不同压力下氧化硅薄膜平均透光率

压力从0.2 Pa升至0.4 Pa时,透光率下降,与薄膜缺陷增加、结晶度下降有关。压力从0.4 Pa升至0.8 Pa过程中,透光率持续增加,因为氩离子碰撞清除了表面杂质,同时产生平滑效应。压力从0.8 Pa升至1.0 Pa时,透光率下降,归因于厚度和粗糙度的增加。综合来看,0.8 Pa下薄膜厚度最小、粗糙度最低、平均透光率最好


基底温度的影响

实验条件:溅射功率250 W,气体压力0.6 Pa,基底温度分别为常温、150、200、250、300 °C。

厚度与粗糙度

薄膜厚度与基片温度关系曲线 

薄膜厚度与基片温度关系曲线

随温度升高,薄膜厚度先降低后升高。室温至250 °C范围内,温度较低时部分粒子仅为物理吸附,未形成稳定化学键;温度升高使这些粒子热运动加剧而脱附,导致厚度降低。温度从250 °C升至300 °C时,厚度增加,原因是化学反应更完全,形成致密结构,同时粒子迁移能力增强,填补空隙,热稳定性提高。

薄膜粗糙度与基片温度关系曲线 

薄膜粗糙度与基片温度关系曲线

粗糙度同样先降后升。室温至150 °C时,温度升高使晶粒边界迁移率增加,晶粒长大合并,减少晶界数量,表面更平滑。150~300 °C时,迁移率进一步增加使晶粒尺寸增大,粗糙度增大。

透光率

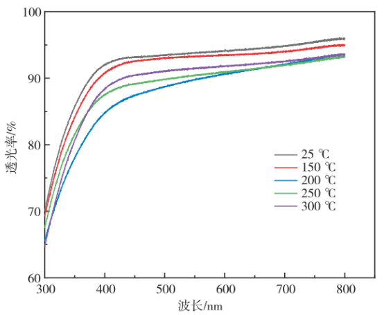
不同基底温度SiO₂薄膜透光率变化曲线 

不同基底温度SiO₂薄膜透光率变化曲线

不同基底温度下SiO₂薄膜平均透光率 

不同基底温度下SiO₂薄膜平均透光率

温度升至200 °C时,透光率减少,表明缺陷和杂质增加。温度从200 °C升至300 °C过程中,透光率不断上升,因为结晶度提高,原子排列更有序,散射中心减少;同时内部缺陷得到修复,光吸收和散射减少。250 °C时薄膜厚度最小、平均透光率最好


溅射功率的影响

实验条件:气体压力0.6 Pa,基底不加热,溅射功率分别为250、270、290、310、330 W。

厚度与粗糙度

薄膜厚度与溅射功率关系曲线 

薄膜厚度与溅射功率关系曲线

功率从250 W升至270 W时,厚度减少,原因是高能离子对基片的轰击增强,导致已沉积原子被反溅射,反溅射作用超过溅射产额增加。功率从270 W升至310 W时,厚度增加,此时溅射产额超过反溅射作用。功率从310 W升至330 W时,厚度再次减少,因为过度轰击改变靶材表面状态,溅射效率降低;同时基底温度升高引发原子再蒸发。

薄膜粗糙度与溅射功率关系曲线 

薄膜粗糙度与溅射功率关系曲线

粗糙度:功率从250 W增至270 W时,粗糙度增加,粒子能量和数量提升导致分布不均匀270~310 W时,粗糙度降低,高功率促进表面平滑化(如再结晶、表面扩散)。310~330 W时,粗糙度再次增加,过高的功率引起表面热效应,改变形貌。310 W时粗糙度最低

透光率

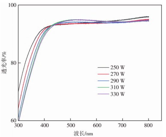
不同溅射功率下SiO₂薄膜透光率曲线 

不同溅射功率下SiO₂薄膜透光率曲线

不同溅射功率下SiO₂薄膜平均透光率 

不同溅射功率下SiO₂薄膜平均透光率

功率250~270 W时,透光率减少,更多轰击造成缺陷。270~310 W时,透光率增加,溅射更均匀,微观结构致密平滑,光散射和吸收减少。310~330 W时,透光率再次减少,过高的功率引起内部应力或结构缺陷310 W时平均透光率最好。


本文采用射频磁控溅射法制备氧化硅薄膜,并结合Flexfilm探针式台阶仪与分光光度计对薄膜膜厚、粗糙度和透光率进行了分析。结果表明:气体压力升高时,薄膜膜厚、粗糙度和透光率均呈明显波动变化,其中0.8 Pa 条件下薄膜表面最平整、平均透光率最佳;基底温度升高时,薄膜膜厚与粗糙度均先降后升,透光率则先降后升再降,250 ℃时综合光学性能最好;溅射功率升高时,薄膜膜厚和平均透光率先降后升再降,粗糙度变化趋势相反,其中310 W时薄膜粗糙度最低、平均透光率最好


Flexfilm费曼仪器探针式台阶仪

技术支持:180-1566-6117 

技术支持:180-1566-6117

在半导体、光伏、LED、MEMS器件、材料等领域,表面台阶高度、膜厚的准确测量具有十分重要的价值,尤其是台阶高度是一个重要的参数,对各种薄膜台阶参数的精确、快速测定和控制,是保证材料质量、提高生产效率的重要手段。

配备500W像素高分辨率彩色摄像机

亚埃级分辨率,台阶高度重复性1nm

360°旋转θ平台结合Z轴升降平台

超微力恒力传感器保证无接触损伤精准测量

费曼仪器作为国内领先的薄膜厚度测量技术解决方案提供商Flexfilm探针式台阶仪可以对薄膜表面台阶高度、膜厚进行准确测量,保证材料质量、提高生产效率。

原文参考:《磁控溅射制备氧化硅薄膜的光学性能研究》

相关产品

×

名字 *

公司

职称

电子邮件 *

电话号码 *

城市 *

国家

请选择产品

我有兴趣接受有关以下内容的信息 *

我的留言

提交